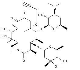
【药物名称】A-174982
化学结构式(Chemical Structure):
参考文献No.34864
标题:6-O-Substd. erythromycins and method for making them
作者:Or, Y.S.; Chu, D.T.; Clark, R.F.; Ma, Z. (Abbott Laboratories Inc.)
来源:EP 0918783; EP 1007530; JP 2000509712; US 6075011; WO 9742204; WO 9742206
合成路线图解说明:

Alkylation of protected erythromycin (I) at the 6-hydroxyl group with propargyl bromide provided ether (II). Hydrolysis of the cyclohexylidene ketal group of (II) with concomitant desilylation with AcOH gave (III). The oxime function of (III) was then hydrolyzed using either sodium bisulfite and formic acid or sodium nitrite and HCl to afford the title ketone.

合成路线图解说明:

Alkylation of protected erythromycin (I) at the 6-hydroxyl group with allyl bromide provided ether (II). Hydrolysis of the cyclohexylidene ketal group of (II) with concomitant desilylation with AcOH gave (III). The oxime function was then hydrolyzed using either sodium bisulfite and formic acid or sodium nitrite and HCl to afford ketone (IV). Dihydroxylation of the allyl group of (IV) by means of N-methylmorpholine-N-oxide and a catalytic amount of OsO4, followed by oxidative cleavage of the resulting glycol (V) with NaIO4 produced aldehyde (VI). Alternatively, aldehyde (VI) was obtained by ozonolysis of the allyl ether (IV).

合成路线图解说明:

Alkylation of protected erythromycin (I) at the 6-hydroxyl group with allyl bromide provided ether (II). Hydrolysis of the cyclohexylidene ketal group of (II) with concomitant desilylation with AcOH gave (III). The oxime function of (III) was then hydrolyzed using either sodium bisulfite and formic acid or sodium nitrite and HCl to afford ketone (IV). Dihydroxylation of the allyl group of (IV) by means of N-methylmorpholine-N-oxide and a catalytic amount of OsO4, followed by oxidative cleavage of the resulting glycol (V) with NaIO4 produced aldehyde (VI). Alternatively, aldehyde (VI) was obtained by ozonolysis of the allyl ether (IV).

合成路线图解说明:

Condensation of this aldehyde (VI) with hydroxylamine produced the corresponding oxime (VII), which was finally dehydrated to the target nitrile by means of diisopropyl carbodiimide and CuCl.

合成路线图解说明:

Alkylation of protected erythromycin (I) at the 6-hydroxyl group with allyl bromide provided ether (II). Hydrolysis of the cyclohexylidene ketal group of (II) with concomitant desilylation with AcOH gave (III). The oxime function of (III) was then hydrolyzed using either sodium bisulfite and formic acid or sodium nitrite and HCl to afford ketone (IV). Dihydroxylation of the allyl group of (IV) by means of N-methylmorpholine-N-oxide and a catalytic amount of OsO4, followed by oxidative cleavage of the resulting glycol (V) with NaIO4 produced aldehyde (VI). Alternatively, aldehyde (VI) was obtained by ozonolysis of the allyl ether (IV).

参考文献No.482141
标题:Novel 6-O-substituted erythromycin A derivatives. Synthesis and antibacterial activity
作者:Bui, M.H.; Plattner, J.J.; Ramney, p.M.; Nilius, A.M.; Chu, D.T.W.; Or, Y.S.; Wang, S.; Clark, R.F.; Henry, R.F.; Ma, Z.
来源:38th Intersci Conf Antimicrob Agents Chemother (Sept 24 1998, San Diego) 1998,Abst F-125
合成路线图解说明:

Alkylation of protected erythromycin (I) at the 6-hydroxyl group with propargyl bromide provided ether (II). Hydrolysis of the cyclohexylidene ketal group of (II) with concomitant desilylation with AcOH gave (III). The oxime function of (III) was then hydrolyzed using either sodium bisulfite and formic acid or sodium nitrite and HCl to afford the title ketone.

合成路线图解说明:

Alkylation of protected erythromycin (I) at the 6-hydroxyl group with allyl bromide provided ether (II). Hydrolysis of the cyclohexylidene ketal group of (II) with concomitant desilylation with AcOH gave (III). The oxime function was then hydrolyzed using either sodium bisulfite and formic acid or sodium nitrite and HCl to afford ketone (IV). Dihydroxylation of the allyl group of (IV) by means of N-methylmorpholine-N-oxide and a catalytic amount of OsO4, followed by oxidative cleavage of the resulting glycol (V) with NaIO4 produced aldehyde (VI). Alternatively, aldehyde (VI) was obtained by ozonolysis of the allyl ether (IV).

合成路线图解说明:

Finally, condensation of this aldehyde with O-phenyl hydroxylamine yielded the target oxime.

合成路线图解说明:

Alkylation of protected erythromycin (I) at the 6-hydroxyl group with allyl bromide provided ether (II). Hydrolysis of the cyclohexylidene ketal group of (II) with concomitant desilylation with AcOH gave (III). The oxime function of (III) was then hydrolyzed using either sodium bisulfite and formic acid or sodium nitrite and HCl to afford ketone (IV). Dihydroxylation of the allyl group of (IV) by means of N-methylmorpholine-N-oxide and a catalytic amount of OsO4, followed by oxidative cleavage of the resulting glycol (V) with NaIO4 produced aldehyde (VI). Alternatively, aldehyde (VI) was obtained by ozonolysis of the allyl ether (IV).

合成路线图解说明:

Condensation of this aldehyde (VI) with hydroxylamine produced the corresponding oxime (VII), which was finally dehydrated to the target nitrile by means of diisopropyl carbodiimide and CuCl.

合成路线图解说明:

Alkylation of protected erythromycin (I) at the 6-hydroxyl group with allyl bromide provided ether (II). Hydrolysis of the cyclohexylidene ketal group of (II) with concomitant desilylation with AcOH gave (III). The oxime function of (III) was then hydrolyzed using either sodium bisulfite and formic acid or sodium nitrite and HCl to afford ketone (IV). Dihydroxylation of the allyl group of (IV) by means of N-methylmorpholine-N-oxide and a catalytic amount of OsO4, followed by oxidative cleavage of the resulting glycol (V) with NaIO4 produced aldehyde (VI). Alternatively, aldehyde (VI) was obtained by ozonolysis of the allyl ether (IV).

合成路线图解说明:

Condensation of this aldehyde (VI) with phenethyl amine (VII) produced the corresponding imine (VIII), which was finally reduced to the target amine by means of NaBH3CN or by hydrogenation over Pd/C.

Drug Information Express,Drug R&D,Chemical Database,Patent Search.
Copyright © 2006-2026 Drug Future. All rights reserved.Contact Us