【药物名称】NGB-2849
化学结构式(Chemical Structure):
参考文献No.477018
标题:NGB 2904 and NGB 2849: Two highly selective dopamine D3 receptor antagonists
作者:Yuan, J.; Chen, X.; Brodbeck, R.; Primus, R.; Braun, J.; Wasley, W.F.; Thurkauf, A.
来源:Bioorg Med Chem Lett 1998,8(19),2715
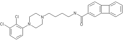
合成路线图解说明:

Dichlorophenylpiperazine (III) was prepared from aniline (I) by dehydrative cyclization with diethanolamine (II) in the presence of P2O5 and Et3N-HCl at 200 C. Alkylation of piperazine (III) with N-(4-bromobutyl) phthalimide (IV) gave (V), and subsequent hydrazinolysis of the phthalimide provided the (4-aminobutyl)piperazine (VI). Finally, condensation of (VI) with fluorene-2-carboxylic acid (VII) yielded the target amide.

合成路线图解说明:

Dichlorophenylpiperazine (III) was prepared from aniline (I) by dehydrative cyclization with diethanolamine (II) in the presence of P2O5 and Et3N-HCl at 200 C. Alkylation of piperazine (III) with N-(4-bromobutyl) phthalimide (IV) gave (V), and subsequent hydrazinolysis of the phthalimide provided the (4-aminobutyl)piperazine (VI). Finally, condensation of (VI) with biphenylene-2-carboxylic acid (VII) yielded the target amide.

Drug Information Express,Drug R&D,Chemical Database,Patent Search.
Copyright © 2006-2026 Drug Future. All rights reserved.Contact Us