【药物名称】
化学结构式(Chemical Structure):
参考文献No.34687
标题:N-Formyl hydroxylamine containing cpds. useful as ACE inhibitors and/or NEP inhibitors
作者:Robl, J.A. (Bristol-Myers Squibb Co.)
来源:WO 9738705
合成路线图解说明:

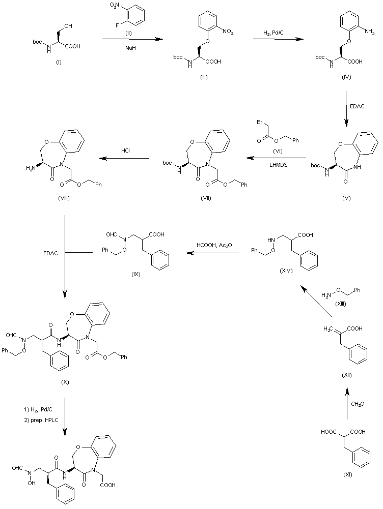
The reaction of N-Boc-L-serine (I) with 2-fluoronitrobenzene (II) by means of NaH in DMF gives N-Boc-O-(2-nitrophenyl)-L-serine (III), which is reduced with H2 over Pd/C in methanol yielding the 2-aminophenyl derivative (IV). The cyclization of (IV) by means of EDAC in DMF affords the benzoxazepinone (V), which is condensed with benzyl 2-bromoacetate (VI) by means of LHMDS in THF providing the benzoxazepinone acetic ester (VII). The deprotection of the carbamate group of (VII) with HCl in dioxane affords (VIII) with a free amino group that is condensed with 2-benzyl-3-[N-(benzyloxy)-N-formylamino]propionic acid (IX) by means of EDAC in dichloromethane giving the corresponding amide (X). The deprotection of the benzyl groups of (X) with H2 over Pd/C in methanol yields the expected mixture of diastereomers that is resolved by preparative HPLC to afford the target compound.

合成路线图解说明:

The reaction of N-Boc-L-serine (I) with 2-fluoronitrobenzene (II) by means of NaH in DMF gives N-Boc-O-(2-nitrophenyl)-L-serine (III), which is reduced with H2 over Pd/C in methanol yielding the 2-aminophenyl derivative (IV). The cyclization of (IV) by means of EDAC in DMF affords the benzoxazepinone (V), which is condensed with benzyl 2-bromoacetate (VI) by means of LHMDS in THF providing the benzoxazepinone acetic ester (VII). The deprotection of the carbamate group of (VII) with HCl in dioxane affords (VIII) with a free amino group that is condensed with 2-benzyl-3-[N-(benzyloxy)-N-formylamino]propionic acid (IX) by means of EDAC in dichloromethane giving the corresponding amide (X). The deprotection of the benzyl groups of (X) with H2 over Pd/C in methanol yields the expected mixture of diastereomers that is resolved by preparative HPLC to afford the target compound. The intermediate 2-benzyl-3-[N-(benzyloxy)-N-formylamino]propionic acid (IX) has been obtained as follows: The reaction of benzylmalonic acid (XI) with aqueous formaldehyde and dimethylamine gives 2-benzyl-2-propenoic acid (XII), which is condensed with O-benzylhydroxylamine (XIII) in refluxing ethanol yielding 2-benzyl-3-(benzyloxyamino)propionic acid (XIV). Finally, this compound is N-formylated with formic acid/acetic anhydride to afford the desired intermediate (IX).

合成路线图解说明:

The reaction of (S)-2-amino-6-hydroxyhexanoic acid (I) with N-(ethoxycarbonyl)phthalimide (II) by means of Na2CO3 in water gives 6-hydroxy-2(S)-(phthalimido)hexanoic acid (III), which is esterified with benzyl bromide and Cs2CO3 in DMF yielding the benzyl ester (IV). The oxidation of the terminal OH group of (IV) with (COCl)2 in dichloromethane affords the aldehyde (V), which is methylated with AlMe3 in dichloromethane giving 6-hydroxy-2(S)-(phthalimido)heptanoic acid (VI). The oxidation of (VI) with oxalyl chloride as before yields the ketone (VII), which is methylated with TiCl4 and methylmagnesium chloride to provide the carbinol (VIII). The reaction of (VIII) with trimethylsilyl azide in dichloromethane gives the azido derivative (IX), which is cyclized by reduction with H2 over Pd/C in DMF yielding the perhydroazepinone (X). Elimination of phthalimido protecting group of (X) with hydrazine in methanol/dichloromethane affords 3(S)-amino-7,7-dimethylperhydroazepin-2-one (XI), which is protected with trityl chloride and TEA in dichloromethane to give the tritylamino compound (XII). The condensation of (XII) with ethyl 2-bromoacetate (XIII) by means of LHMDS, followed by deprotection with TFA affords the adduct (XIV) with a free amino group, which is acylated with 2(R)-benzyl-3-(benzyloxyamino)propionic acid (XV) by means of HOBT and EDAD in dichloromethane providing the amide (XVI). The formylation of (XVI) with formic acid and acetic anhydride gives the formamide (XVII), which is deprotected with H2 over Pd/C in ethanol yielding intermediate (XVIII). Finally, this compound is hydrolyzed with NaOH in methanol.

合成路线图解说明:

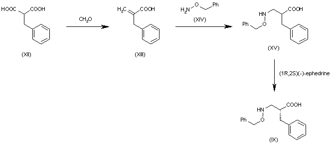
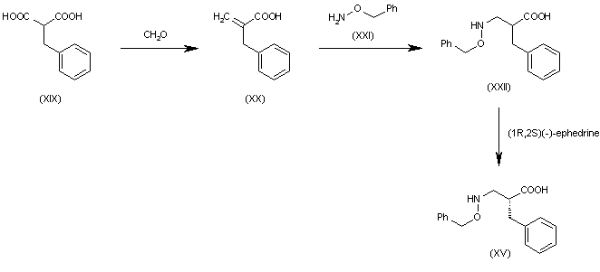
The intermediate 2(R)-benzyl-3-(benzyloxyamino)propionic acid (XV) has been obtained as follows: The reaction of benzylmalonic acid (XIX) with aqueous formaldehyde and dimethylamine gives 2-benzyl-2-propenoic acid (XX), which is condensed with O-benzylhydroxylamine (XXI) in refluxing ethanol yielding racemic 2-benzyl-3-(benzyloxyamino)propionic acid (XXII). Finally, this compound is submitted to optical resolution with (1R,2S)(-)-ephedrine in acetonitrile to afford the chiral target intermediate (XV).

合成路线图解说明:

Sodium azide (I) is treated with sulfuric acid to give hydrazoic acid (II), which is condensed with 1-tetralone (III) in hot aqueous sulfuric acid yielding 2,3,4,5-tetrahydro-1H-1-benzazepin-2-one (IV). The bromination of (IV) with Br2 in chloroform affords the 3-bromo derivative (V), which is treated with sodium azide in DMSO to give the corresponding azido derivative (VI). The condensation of (VI) with ethyl 2-bromoacetate (VII) by means of KOH and tetrabutylammonium bromide in THF yields the adduct (VIII). The azido group of (VIII) is reduced with H2 over Pd/C in ethanol the amine (IX) as a racemic mixture, which is submitted to optical resolution with L-tartaric acid affording the desired (S)-enantiomer (X). The condensation of intermediate (X) with 2(R)-benzyl-3-benzyloxyamino)propionic acid (XI) by means of HOBT and EDAC in dichloromethane provides the amide (XII), which is formylated with formic acid and acetic anhydride yielding the formamide (XIII). The debenzylation of (XIII) with H2 over Pd/C in methanol affords the intermediate (XIV), which is finally hydrolyzed with NaOH in methanol.

合成路线图解说明:

The intermediate 2(R)-benzyl-3-(benzyloxyamino)propionic acid (XI) has been obtained as follows: The reaction of benzylmalonic acid (XV) with aqueous formaldehyde and dimethylamine gives 2-benzyl-2-propenoic acid (XVI), which is condensed with O-benzylhydroxylamine (XVII) in refluxing ethanol yielding racemic 2-benzyl-3-(benzyloxyamino)propionic acid (XVIII). Finally, this compound is submitted to optical resolution with (1R,2S)(-)-ephedrine in acetonitrile to afford the chiral target intermediate (XI).

合成路线图解说明:

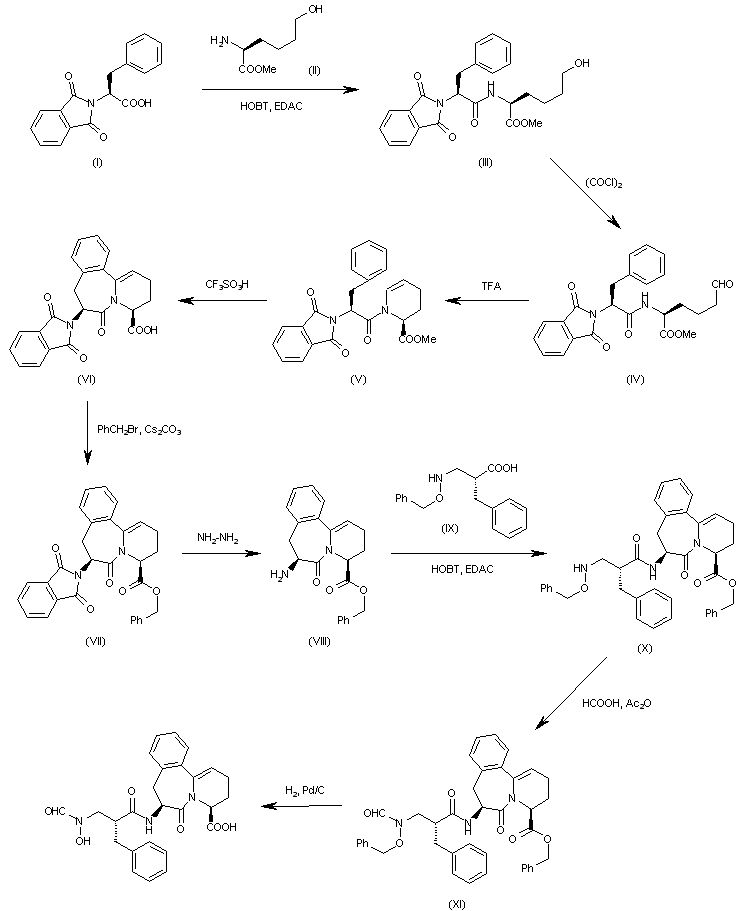
The condensation of N-phthaloyl-L-phenylalanine (I) with 2(S)-amino-6-hydroxyhexanoic acid methyl ester (II) by means of HOBT and EDAC in DMF/dichloromethane gives the dipeptide (III), which is oxidized at the terminal OH with (COCl)2 in dichloromethane yielding the aldehyde (IV). The cyclization of (IV) with TFA in dichloromethane affords the tetrahydropyridine (V), which is cyclized again by means of trifluoromethanesulfonic acid in dichloromethane to provide the tricyclic carboxylic acid (VI). The esterification of (VI) with PhCH2Br and Cs2CO3 in DMF gives the benzyl ester (VII), which is treated with hydrazine to eliminate the phthalimido group and yielding intermediate (VIII). The reaction of the free amino group of (VIII) with 2(R)-benzyl-3-(benzyloxyamino)propionic acid (IX) by means of HOBT and EDAC in dichloromethane affords the amide (X), which is formylated with formic acid and acetic anhydride to provide the formamide (XI). Finally, this compound is debenzylated with H2 over Pd/C in methanol to furnish the target compound.

合成路线图解说明:

The intermediate 2(R)-benzyl-3-(benzyloxyamino)propionic acid (IX) has been obtained as follows: The reaction of benzylmalonic acid (XII) with aqueous formaldehyde and dimethylamine gives 2-benzyl-2-propenoic acid (XIII), which is condensed with O-benzylhydroxylamine (XIV) in refluxing ethanol yielding racemic 2-benzyl-3-(benzyloxyamino)propionic acid (XV). Finally, this compound is submitted to optical resolution with (1R,2S)(-)-ephedrine in acetonitrile to afford the chiral target intermediate (IX).

参考文献No.567371
标题:N-Formyl hydroxylamine containing dipeptides: Generation of a new class of vasopeptidase inhibitors
作者:Robl, J.A.; Simpkins, L.M.; Asaad, M.M.
来源:Bioorg Med Chem Lett 2000,10(3),257
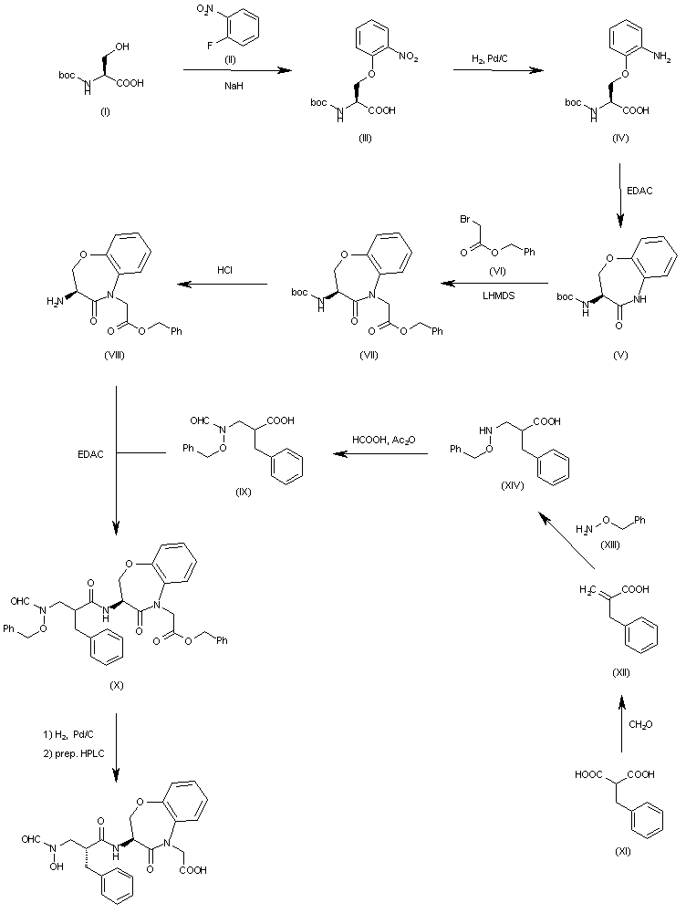
合成路线图解说明:

The reaction of N-Boc-L-serine (I) with 2-fluoronitrobenzene (II) by means of NaH in DMF gives N-Boc-O-(2-nitrophenyl)-L-serine (III), which is reduced with H2 over Pd/C in methanol yielding the 2-aminophenyl derivative (IV). The cyclization of (IV) by means of EDAC in DMF affords the benzoxazepinone (V), which is condensed with benzyl 2-bromoacetate (VI) by means of LHMDS in THF providing the benzoxazepinone acetic ester (VII). The deprotection of the carbamate group of (VII) with HCl in dioxane affords (VIII) with a free amino group that is condensed with 2-benzyl-3-[N-(benzyloxy)-N-formylamino]propionic acid (IX) by means of EDAC in dichloromethane giving the corresponding amide (X). The deprotection of the benzyl groups of (X) with H2 over Pd/C in methanol yields the expected mixture of diastereomers that is resolved by preparative HPLC to afford the target compound.

合成路线图解说明:

The reaction of N-Boc-L-serine (I) with 2-fluoronitrobenzene (II) by means of NaH in DMF gives N-Boc-O-(2-nitrophenyl)-L-serine (III), which is reduced with H2 over Pd/C in methanol yielding the 2-aminophenyl derivative (IV). The cyclization of (IV) by means of EDAC in DMF affords the benzoxazepinone (V), which is condensed with benzyl 2-bromoacetate (VI) by means of LHMDS in THF providing the benzoxazepinone acetic ester (VII). The deprotection of the carbamate group of (VII) with HCl in dioxane affords (VIII) with a free amino group that is condensed with 2-benzyl-3-[N-(benzyloxy)-N-formylamino]propionic acid (IX) by means of EDAC in dichloromethane giving the corresponding amide (X). The deprotection of the benzyl groups of (X) with H2 over Pd/C in methanol yields the expected mixture of diastereomers that is resolved by preparative HPLC to afford the target compound. The intermediate 2-benzyl-3-[N-(benzyloxy)-N-formylamino]propionic acid (IX) has been obtained as follows: The reaction of benzylmalonic acid (XI) with aqueous formaldehyde and dimethylamine gives 2-benzyl-2-propenoic acid (XII), which is condensed with O-benzylhydroxylamine (XIII) in refluxing ethanol yielding 2-benzyl-3-(benzyloxyamino)propionic acid (XIV). Finally, this compound is N-formylated with formic acid/acetic anhydride to afford the desired intermediate (IX).

合成路线图解说明:

The reaction of (S)-2-amino-6-hydroxyhexanoic acid (I) with N-(ethoxycarbonyl)phthalimide (II) by means of Na2CO3 in water gives 6-hydroxy-2(S)-(phthalimido)hexanoic acid (III), which is esterified with benzyl bromide and Cs2CO3 in DMF yielding the benzyl ester (IV). The oxidation of the terminal OH group of (IV) with (COCl)2 in dichloromethane affords the aldehyde (V), which is methylated with AlMe3 in dichloromethane giving 6-hydroxy-2(S)-(phthalimido)heptanoic acid (VI). The oxidation of (VI) with oxalyl chloride as before yields the ketone (VII), which is methylated with TiCl4 and methylmagnesium chloride to provide the carbinol (VIII). The reaction of (VIII) with trimethylsilyl azide in dichloromethane gives the azido derivative (IX), which is cyclized by reduction with H2 over Pd/C in DMF yielding the perhydroazepinone (X). Elimination of phthalimido protecting group of (X) with hydrazine in methanol/dichloromethane affords 3(S)-amino-7,7-dimethylperhydroazepin-2-one (XI), which is protected with trityl chloride and TEA in dichloromethane to give the tritylamino compound (XII). The condensation of (XII) with ethyl 2-bromoacetate (XIII) by means of LHMDS, followed by deprotection with TFA affords the adduct (XIV) with a free amino group, which is acylated with 2(R)-benzyl-3-(benzyloxyamino)propionic acid (XV) by means of HOBT and EDAD in dichloromethane providing the amide (XVI). The formylation of (XVI) with formic acid and acetic anhydride gives the formamide (XVII), which is deprotected with H2 over Pd/C in ethanol yielding intermediate (XVIII). Finally, this compound is hydrolyzed with NaOH in methanol.

合成路线图解说明:

The intermediate 2(R)-benzyl-3-(benzyloxyamino)propionic acid (XV) has been obtained as follows: The reaction of benzylmalonic acid (XIX) with aqueous formaldehyde and dimethylamine gives 2-benzyl-2-propenoic acid (XX), which is condensed with O-benzylhydroxylamine (XXI) in refluxing ethanol yielding racemic 2-benzyl-3-(benzyloxyamino)propionic acid (XXII). Finally, this compound is submitted to optical resolution with (1R,2S)(-)-ephedrine in acetonitrile to afford the chiral target intermediate (XV).

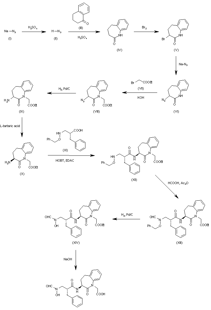
合成路线图解说明:

Sodium azide (I) is treated with sulfuric acid to give hydrazoic acid (II), which is condensed with 1-tetralone (III) in hot aqueous sulfuric acid yielding 2,3,4,5-tetrahydro-1H-1-benzazepin-2-one (IV). The bromination of (IV) with Br2 in chloroform affords the 3-bromo derivative (V), which is treated with sodium azide in DMSO to give the corresponding azido derivative (VI). The condensation of (VI) with ethyl 2-bromoacetate (VII) by means of KOH and tetrabutylammonium bromide in THF yields the adduct (VIII). The azido group of (VIII) is reduced with H2 over Pd/C in ethanol the amine (IX) as a racemic mixture, which is submitted to optical resolution with L-tartaric acid affording the desired (S)-enantiomer (X). The condensation of intermediate (X) with 2(R)-benzyl-3-benzyloxyamino)propionic acid (XI) by means of HOBT and EDAC in dichloromethane provides the amide (XII), which is formylated with formic acid and acetic anhydride yielding the formamide (XIII). The debenzylation of (XIII) with H2 over Pd/C in methanol affords the intermediate (XIV), which is finally hydrolyzed with NaOH in methanol.

合成路线图解说明:

The intermediate 2(R)-benzyl-3-(benzyloxyamino)propionic acid (XI) has been obtained as follows: The reaction of benzylmalonic acid (XV) with aqueous formaldehyde and dimethylamine gives 2-benzyl-2-propenoic acid (XVI), which is condensed with O-benzylhydroxylamine (XVII) in refluxing ethanol yielding racemic 2-benzyl-3-(benzyloxyamino)propionic acid (XVIII). Finally, this compound is submitted to optical resolution with (1R,2S)(-)-ephedrine in acetonitrile to afford the chiral target intermediate (XI).

合成路线图解说明:

The condensation of N-phthaloyl-L-phenylalanine (I) with 2(S)-amino-6-hydroxyhexanoic acid methyl ester (II) by means of HOBT and EDAC in DMF/dichloromethane gives the dipeptide (III), which is oxidized at the terminal OH with (COCl)2 in dichloromethane yielding the aldehyde (IV). The cyclization of (IV) with TFA in dichloromethane affords the tetrahydropyridine (V), which is cyclized again by means of trifluoromethanesulfonic acid in dichloromethane to provide the tricyclic carboxylic acid (VI). The esterification of (VI) with PhCH2Br and Cs2CO3 in DMF gives the benzyl ester (VII), which is treated with hydrazine to eliminate the phthalimido group and yielding intermediate (VIII). The reaction of the free amino group of (VIII) with 2(R)-benzyl-3-(benzyloxyamino)propionic acid (IX) by means of HOBT and EDAC in dichloromethane affords the amide (X), which is formylated with formic acid and acetic anhydride to provide the formamide (XI). Finally, this compound is debenzylated with H2 over Pd/C in methanol to furnish the target compound.

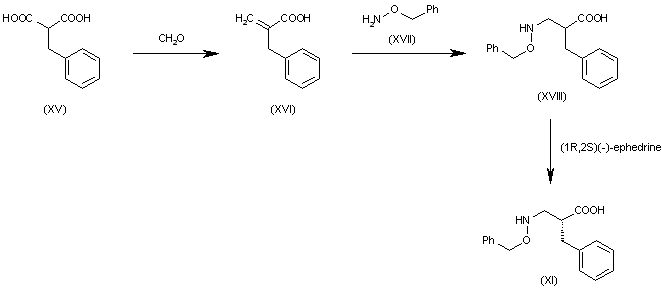
合成路线图解说明:

The intermediate 2(R)-benzyl-3-(benzyloxyamino)propionic acid (IX) has been obtained as follows: The reaction of benzylmalonic acid (XII) with aqueous formaldehyde and dimethylamine gives 2-benzyl-2-propenoic acid (XIII), which is condensed with O-benzylhydroxylamine (XIV) in refluxing ethanol yielding racemic 2-benzyl-3-(benzyloxyamino)propionic acid (XV). Finally, this compound is submitted to optical resolution with (1R,2S)(-)-ephedrine in acetonitrile to afford the chiral target intermediate (IX).

Drug Information Express,Drug R&D,Chemical Database,Patent Search.
Copyright © 2006-2026 Drug Future. All rights reserved.Contact Us