【药物名称】Parecoxib sodium, SC-69124A, Rayzon, Xapit, Dynastat
化学结构式(Chemical Structure):
参考文献No.34699
标题:Substd. benzenesulfonamide derivs. as prodrugs of COX-2 inhibitors
作者:Talley, J.J.; Malecha, J.W.; Bertenshaw, S.; Graneto, M.J.; Carter, J.S.; Li, J.; Nagarajan, S.; Brown, D.L.; Rogier, D.J. Jr.; Penning, T.D.; Khanna, I.K.; Xu, X.; Weier, R.M. (Pharmacia Corp.)
来源:EP 0892791; JP 2000509029; US 5932598; WO 9738986
合成路线图解说明:

The acylation of 4-(5-methyl-3-phenylisoxazol-4-yl)benzenesulfonamide, valdecoxib (I), with propionic anhydride (II) by means of TEA and DMAP in THF gives N-[4-(5-methyl-3-phenylisoxazol-4-yl)phenylsulfonyl]propionamide (III), which is then treated with NaOH in ethanol.

参考文献No.573490
标题:N-[[(5-Methyl-3-phenylisoxazol-4-yl)-phenyl]sulfonyl]propanamide, sodium salt, parecoxib sodium: A potent and selective inhibitor of COX-2 for parenteral administration
作者:Talley, J.J.; Bertenshaw, S.R.; Brown, D.L.; Carter, J.S.; Graneto, M.J.; Kellog, M.S.; Koboldt, C.M.; Yuan, J.; Zhang, Y.Y.; Seibert, K.
来源:J Med Chem 2000,43(9),1661
合成路线图解说明:

The acylation of 4-(5-methyl-3-phenylisoxazol-4-yl)benzenesulfonamide, valdecoxib (I), with propionic anhydride (II) by means of TEA and DMAP in THF gives N-[4-(5-methyl-3-phenylisoxazol-4-yl)phenylsulfonyl]propionamide (III), which is then treated with NaOH in ethanol.

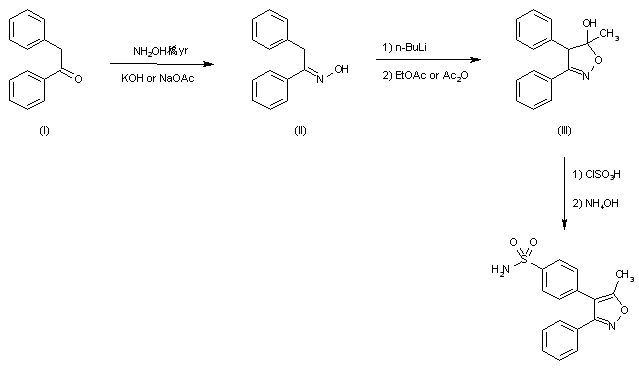
参考文献No.610299
标题:Valdecoxib and Parecoxib Sodium
作者:Leeson, P.; Casta馿r, J.; Casta馿r, R.M.; Sorbera, L.A.
来源:Drugs Fut 2001,26(2),133
合成路线图解说明:

Deoxybenzoin (I) is converted to the corresponding oxime (II) by treatment with NH2OH稨Cl under basic conditions either with sodium acetate in aqueous ethanol or in toluene in presence of potassium hydroxide in absolute ethanol. Deprotonation of the oxime under nitrogen with 2eq of butyllithium in THF followed by cyclization in ethyl acetate or acetic anhydride affords isoxazoline (III). Finally, treatment of (III) with cold chlorosulfonic acid followed by reaction of the intermediate sulfonyl chloride with aqueous ammonia affords the desired product.

合成路线图解说明:

The acylation of 4-(5-methyl-3-phenylisoxazol-4-yl)benzenesulfonamide, valdecoxib (I), with propionic anhydride (II) by means of TEA and DMAP in THF gives N-[4-(5-methyl-3-phenylisoxazol-4-yl)phenylsulfonyl]propionamide (III), which is then treated with NaOH in ethanol.

Drug Information Express,Drug R&D,Chemical Database,Patent Search.
Copyright © 2006-2026 Drug Future. All rights reserved.Contact Us