【药物名称】
化学结构式(Chemical Structure):
参考文献No.469669
标题:Development of dual-acting agents for thromboxane receptor antagonism and thromboxane synthase inhibition. 2. Design, synthesis, and evaluation of a novel series of phenyl oxazole derivatives
作者:Takeuchi, K.; Kohn, T.J.; Mais, D.E.; True, T.A.; Wyss, V.L.; Jakubowski, J.A.
来源:Bioorg Med Chem Lett 1998,8(15),1943-1948
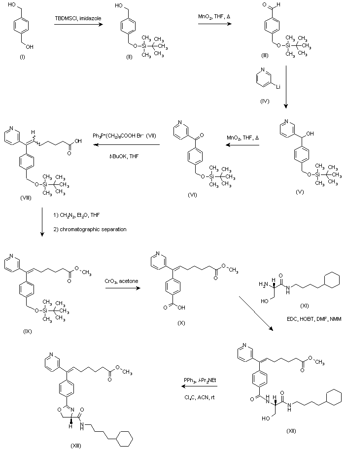
合成路线图解说明:

1,4-Benzenedimethanol (I) was monoprotected with tert-butyldimethylsilyl chloride in the presence of imidazole, and the resulting silyl ether (II) was oxidized with MnO2 in refluxing THF to aldehyde (III). This was treated with 3-lithiopyridine (IV), (generated from 3-bromopyridine and butyllithium at -78 C in Et2O), to give carbinol (V), which was oxidized with MnO2 to ketone (VI). Wittig reaction with 5-carboxypentylphosphonium bromide (VII) and t-BuOK in THF at low temperature yielded a 4:1 mixture of Z and E heptenoic acids (VIII). Subsequent reaction with diazomethane provided a mixture of esters, from which the E isomer (IX) was separated by column chromatography. Oxidation of TBDMS ether with Jones reagent provided acid (X), and this was coupled with N-(4-cyclohexylbutyl)-L-serinamide (XI) using N-(dimethylaminopropyl)-N'-ethylcarbodiimide.HCl (EDC) in the presence of HOBT and N-methylmorpholine to give amide (XII). Cyclization to oxazolidine (XIII) was effected by treatment with triphenyl phosphine and diisopropylethylamine.

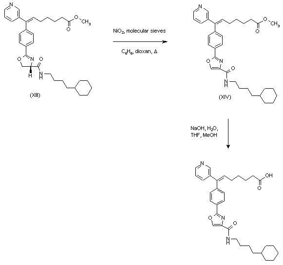
合成路线图解说明:

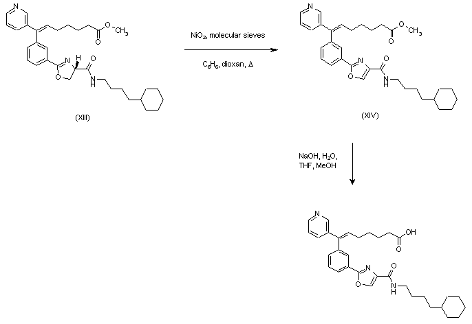
Oxazolidine (XIII) was oxidized to oxazole (XIV) with nickel peroxide in the presence of 4 ?molecular sieves, and finally hydrolyzed with 1 M NaOH in THF-MeOH to the title acid.

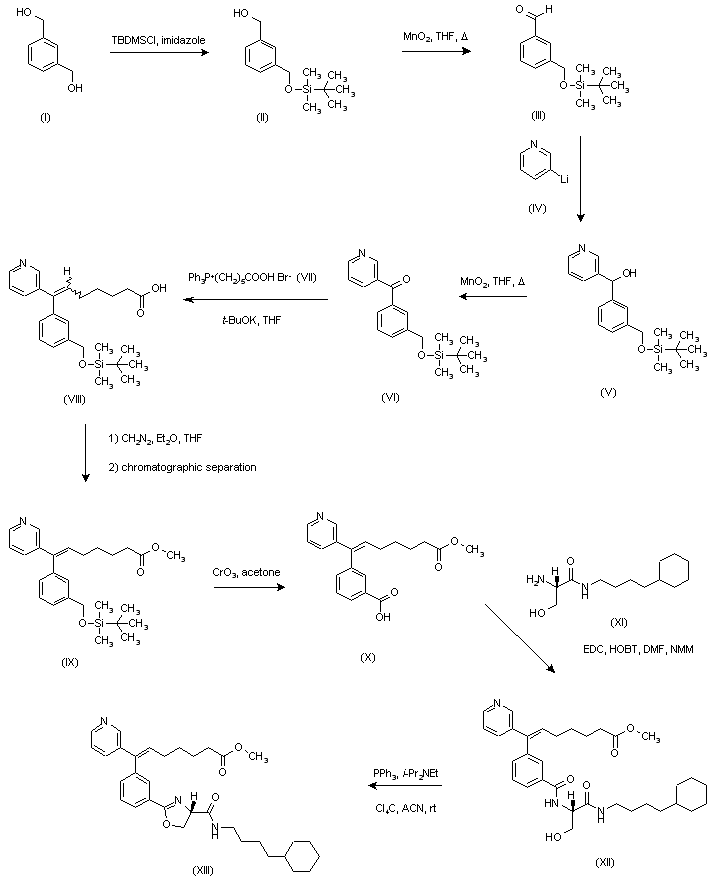
合成路线图解说明:

1,3-Benzenedimethanol (I) was monoprotected with tert-butyldimethylsilyl chloride in the presence of imidazole, and the resulting silyl ether (II) was oxidized with MnO2 in refluxing THF to aldehyde (III). This was treated with 3-lithiopyridine (IV), generated from 3-bromopyridine and butyllithium at -78 C in Et2O, to give carbinol (V), which was oxidized with MnO2 to ketone (VI). Wittig reaction with 5-carboxypentylphosphonium bromide (VII) and t-BuOK in THF at low temperature yielded a 3:1 mixture of Z and E heptenoic acids (VIII). Subsequent reaction with diazomethane provided a mixture of esters, from which the E isomer (IX) was separated by column chromatography. Oxidation of TBDMS ether with Jones reagent provided acid (X), and this was coupled with N-(4-cyclohexylbutyl)-L-serinamide (XI) using N-dimethylaminopropyl-N'-ethylcarbodiimide.HCl (EDC) in the presence of HOBT and N-methylmorpholine to give amide (XII). Cyclization to oxazolidine (XIII) was effected by treatment with triphenyl phosphine and diisopropylethylamine.

合成路线图解说明:

Oxazolidine (XIII) was oxidized to oxazole (XIV) with nickel peroxide in the presence of 4 ?molecular sieves, and finally hydrolyzed with 1 M NaOH in THF-MeOH to the title acid.

参考文献No.483853
标题:Development of dual-acting agents for thromboxane receptor antagonism and thromboxane synthase inhibition. 3. Synthesis and biological activities of oxazolecarboxamide-substituted omega-phenyl-omega-(3-pyridyl)alkenoic acid derivatives and related compo
作者:Takeuchi, K.; Kohn, T.J.; True, T.A.; Mais, D.E.; Wikel, J.H.; Utterback, B.G.; Wyss, V.L.; Jakubowski, J.A.
来源:J Med Chem 1998,41(27),5362
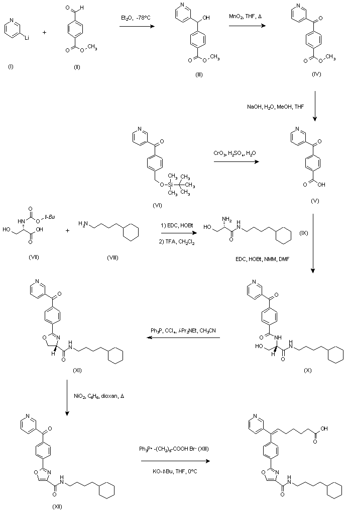
合成路线图解说明:

1,4-Benzenedimethanol (I) was monoprotected with tert-butyldimethylsilyl chloride in the presence of imidazole, and the resulting silyl ether (II) was oxidized with MnO2 in refluxing THF to aldehyde (III). This was treated with 3-lithiopyridine (IV), (generated from 3-bromopyridine and butyllithium at -78 C in Et2O), to give carbinol (V), which was oxidized with MnO2 to ketone (VI). Wittig reaction with 5-carboxypentylphosphonium bromide (VII) and t-BuOK in THF at low temperature yielded a 4:1 mixture of Z and E heptenoic acids (VIII). Subsequent reaction with diazomethane provided a mixture of esters, from which the E isomer (IX) was separated by column chromatography. Oxidation of TBDMS ether with Jones reagent provided acid (X), and this was coupled with N-(4-cyclohexylbutyl)-L-serinamide (XI) using N-(dimethylaminopropyl)-N'-ethylcarbodiimide.HCl (EDC) in the presence of HOBT and N-methylmorpholine to give amide (XII). Cyclization to oxazolidine (XIII) was effected by treatment with triphenyl phosphine and diisopropylethylamine.

合成路线图解说明:

Addition of 3-lithiopyridine (I) to methyl 4-formylbenzoate (II) in Et2O at low temperature provided carbinol (III), which was oxidized to ketone (IV) with MnO2 in refluxing THF. Then, saponification of the methyl ester of (IV) gave acid (V). Alternatively, acid (V) was obtained by Jones oxidation of silyloxymethyl compound (VI). Serinamide (IX) was prepared by coupling of N-Boc-L-serine (VII) with 4-cyclohexylbutylamine (VIII) using EDC and HOBt, followed by deprotection of the Boc group with trifluoroacetic acid in cold CH2Cl2. Compound (IX) was then coupled with acid (V) to provide amide (X), whose cyclization in the presence of PPh3, CCl4 and i-Pr2NEt produced the oxazoline (XI). Subsequent nickel peroxide oxidation yielded oxazole (XII). Finally, Wittig reaction of (XII) with phosphonate (XIII) in the presence of KO-t-Bu furnished the title compound.

Drug Information Express,Drug R&D,Chemical Database,Patent Search.
Copyright © 2006-2026 Drug Future. All rights reserved.Contact Us