【药物名称】
化学结构式(Chemical Structure):
参考文献No.34696
标题:Novel alpha-hydroxylic acid derivs., their production and use
作者:Klinge, D.; Amberg, W.; Baumann, E.; Kling, A.; Riechers, H.; Unger, L.; Raschack, M.; Hergenr鰀er, S.; Schult, S. (BASF AG)
来源:DE 19614533; EP 0892787; JP 2000508326; WO 9738981
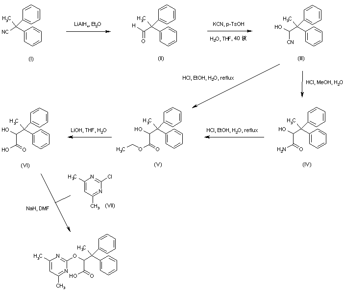
合成路线图解说明:

Reduction of 2,2-diphenylpropionitrile (I) with LiAlH4 in Et2O produced aldehyde (II), which was further converted to cyanohydrin (III) upon treatment with KCN and p-toluenesulfonic acid. The required alpha-hydroxy ester (V) was obtained either by sequential hydrolysis of (III) to amide (IV) and then to ester (V) under acidic conditions or by direct conversion of nitrile (III) to ester (V) with boiling hydroalcoholic HCl. Subsequent saponification of the ester group of (V) with LiOH provided hydroxy acid (VI). This was finally condensed with 4,6-dimethyl-2-chloropyrimidine (VII) in the presence of NaH to give the racemic pyrimidinyl ether.

参考文献No.605989
标题:Structural similarity and its suprises: Endothelin receptor antagonists - Process research and development report
作者:Jansen, R.; et al.
来源:Org Process Res Dev 2001,5(1),16
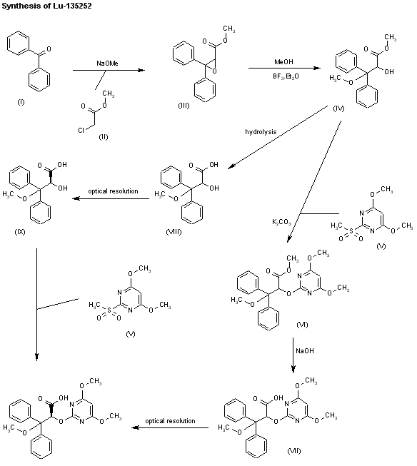
合成路线图解说明:

The condensation of benzophenone (I) with chloroacetic acid methyl ester (II) by means of sodium methoxide in THF gives the epoxide (III), which is treated with methanol/BF3.Et2O, yielding 2-hydroxy-3-methoxy-3,3-diphenylpropionic acid methyl ester (IV). The condensation of (IV) with 4,6-dimethoxy-2-(methylsulfonyl)pyrimidine (V) by means of K2CO3 in DMF affords 2-(4,6-dimethoxypyrimidin-2-yloxy)-3-methoxy-3,3-diphenylpropionic acid methyl ester (VI), which is hydrolyzed with NaOH in hot dioxane/water to give the corresponding free acid (VII). Finally, this compound is submitted to optical resolution, affording LU-135252. Optical resolution of (VIII), the free acid derivative of (IV), with (R)-phenylethylamine, L-proline methyl ester, (S)-1-(4-nitrophenyl)ethylamine or (S)-1-(4--chlorophenyl)ethylamine leads to the enantiomerically pure (S)-enatiomer (IX), which by reaction with 4,6-dimethoxy-2-(methylsulfonyl)pyrimidine (V) directly affords LU-135252.

合成路线图解说明:

A pilot plant process was further developed for the (S)-enantiomer. Darzens condensation of benzophenone (VIII) with methyl chloroacetate gave the glycidic ester (X). Epoxide opening in (X) with trimethylaluminum furnished methyl 2-hydroxy-3,3-diphenylbutyrate (XI), which was hydrolyzed to the corresponding acid (VI) by using KOH in isopropanol. Treatment of the racemic acid (VI) with (S)-1-(4-chlorophenyl)ethylamine (XII) provided the desired (S)-acid salt (XIII). This was finally condensed with 4,6-dimethyl-2-(methylsulfonyl)pyrimidine (XIV) in the presence of lithium amide to yield the title compound.

Drug Information Express,Drug R&D,Chemical Database,Patent Search.
Copyright © 2006-2026 Drug Future. All rights reserved.Contact Us