【药物名称】Arundic acid, ONO-2506PO, ONO-2506, Proglia, Cereact
化学结构式(Chemical Structure):
参考文献No.59727
标题:Novel intermediates and processes for the preparation of optically active octanoic acid derivs.
作者:Yamamoto, H. (Ono Pharmaceutical Co., Ltd.)
来源:EP 1078921; US 6333415; WO 9958513
合成路线图解说明:

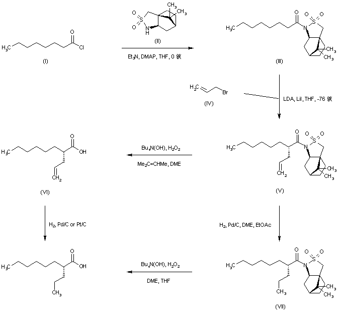
The acylation of (-)-2,10-camphorsultam (II) with octanoyl chloride (I) provides the N-octanoyl sultam (III). Diastereoselective alkylation of the lithium enolate of (III) with allyl bromide (IV) gives rise to the (2S)-2-propenoyloctanoyl sultam (V). Hydrolysis of the N-acyl sultam (V) to furnish acid (VI) is then effected by treatment with hydrogen peroxide-tetrabutylammonium hydroxide. Finally, catalytic hydrogenation of the unsaturated acid (VI) in the presence of either Pd/C or Pt/C yields the required (R)-2-propyloctanoic acid. Alternatively, the title compound is obtained by hydrogenation of the N-acyl sultam (V) to the saturated derivative (VII), followed by hydrolytic removal of the camphorsultam moiety.

合成路线图解说明:

In a related procedure, the N-octanoyl sultam (I) is alkylated by propargyl bromide (II) to produce (III). Hydrolysis of (III) by means of hydrogen peroxide-tetrabutylammonium hydroxide or lithium hydroxide-hydrogen peroxide furnishes acid (IV). Then, catalytic hydrogenation of the propargyloctanoic acid (IV) in the presence of either Pd/C or Pt/C provides the title compound.

参考文献No.59728
标题:Process for the preparation of (2R)-2-propyloctanoic acid
作者:Iguchi, Y.; Yamaguchi, K.; Toda, N. (Ono Pharmaceutical Co., Ltd.; Tokyo Kasei Kogyo Co., Ltd.)
来源:EP 1153910; WO 0048982
合成路线图解说明:

The acylation of (-)-2,10-camphorsultam (II) with octanoyl chloride (I) provides the N-octanoyl sultam (III). Diastereoselective alkylation of the lithium enolate of (III) with allyl bromide (IV) gives rise to the (2S)-2-propenoyloctanoyl sultam (V). Hydrolysis of the N-acyl sultam (V) to furnish acid (VI) is then effected by treatment with hydrogen peroxide-tetrabutylammonium hydroxide. Finally, catalytic hydrogenation of the unsaturated acid (VI) in the presence of either Pd/C or Pt/C yields the required (R)-2-propyloctanoic acid. Alternatively, the title compound is obtained by hydrogenation of the N-acyl sultam (V) to the saturated derivative (VII), followed by hydrolytic removal of the camphorsultam moiety.

合成路线图解说明:

In a related procedure, the N-octanoyl sultam (I) is alkylated by propargyl bromide (II) to produce (III). Hydrolysis of (III) by means of hydrogen peroxide-tetrabutylammonium hydroxide or lithium hydroxide-hydrogen peroxide furnishes acid (IV). Then, catalytic hydrogenation of the propargyloctanoic acid (IV) in the presence of either Pd/C or Pt/C provides the title compound.

参考文献No.68731
标题:Preparation method of optically active 2-propyloctanoic acid
作者:Nakai, H.; Kishimoto, K. (Ono Pharmaceutical Co., Ltd.)
来源:JP 1996295648
合成路线图解说明:

Reaction of L-prolinol (XII) with pentanoyl chloride (XIII) by means of triethylamine (TEA) in dichloromethane gives N-pentanoyl-L-prolinol (XIV), which is stereoselectively alkylated with hexyl iodide (XV) by means of butyl lithium and diethylamine (DEA) in THF to yield N-[2(R)-propyloctanoyl]-L-prolinol (XVI). This compound is subjected to purification via its esterification with 4-nitrobenzoyl chloride (XVII) and pyridine to the corresponding ester (XVIII) and recrystallization to form n-hexane. Hydrolysis of the pure ester (XVIII) with LiOH in water affords pure N-[2(R)-propyloctanoyl]-L-prolinol (XVI), which is finally treated with HCl in AcOH.

参考文献No.68732
标题:Intermediate and process for producing optically active cpd. from the intermediate
作者:Tatsuta, K. (Ono Pharmaceutical Co., Ltd.)
来源:WO 0351852
合成路线图解说明:

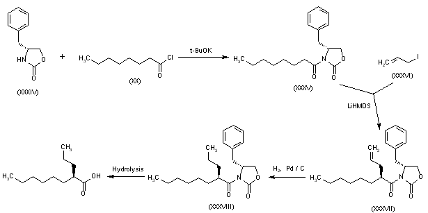
Acylation of 4(R)-benzyloxazolidin-2-one (XXXIV) with octanoyl chloride (XX) by means of t-BuOK in THF gives 3-octanoyl-4(R)-benzyloxazolidin-2-one (XXXV), which is alkylated with allyl iodide (XXXVI) and LiHMDS in THF to yield the chiral 2-allyloctanoyl amide (XXXVII). Hydrogenation of amide (XXXVII) with H2 over Pd/C in ethanol affords the corresponding 2-propyl derivative (XXXVIII), which is finally submitted to hydrolysis of the chiral auxiliary.

参考文献No.69827
标题:Preparation method of optically active 2-propyl octanoate
作者:Nakai, H.; Kishimoto, K. (Ono Pharmaceutical Co., Ltd.)
来源:JP 1996291106
合成路线图解说明:

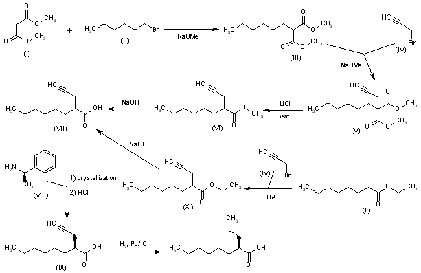
Alkylation of dimethyl malonate (I) with hexyl bromide (II) by means of NaOMe in methanol gives dimethyl 2-hexylmalonate (III), which is alkylated again with 2-propynyl bromide (IV) by means of NaOMe in methanol to yield dimethyl 2-hexyl-2-(2-propynyl)malo-nate (V). Selective monodecarboxylation of malonate (V) by means of LiCl in hot DMSO affords methyl 2-(2-propyn- yl)octanoate (VI), which is hydrolyzed to the corres- ponding carboxylic acid (VII) by means of NaOH in methanol. Then, racemic acid (VII) is submitted to optical resolution by crystallization with 1(R)-phenylethylamine (VIII), followed by hydrolysis with HCl to provide 2(S)-(2-propynyl)octanoic acid (IX), which is finally hydrogenated with H2 over Pd/C in ethyl acetate. Alternatively, the racemic acid (VII) can also be obtained by alkylation of ethyl octanoate (X) with 2-pro-pynyl bromide (IV) by means of LDA in HMPA/THF to give ethyl 2-(2-propynyl)octanoate (XI) and then hydrolysis with NaOH in ethanol.

参考文献No.712237
标题:A practical synthesis of optically active (R)-2-propyloctanoic acid: Therapeutic agent for Alzheimer's disease
作者:Hasegawa, T.; Yamamoto, H.
来源:Bull Chem Soc Jpn 2000,73(2),423
合成路线图解说明:

The acylation of (-)-2,10-camphorsultam (II) with octanoyl chloride (I) provides the N-octanoyl sultam (III). Diastereoselective alkylation of the lithium enolate of (III) with allyl bromide (IV) gives rise to the (2S)-2-propenoyloctanoyl sultam (V). Hydrolysis of the N-acyl sultam (V) to furnish acid (VI) is then effected by treatment with hydrogen peroxide-tetrabutylammonium hydroxide. Finally, catalytic hydrogenation of the unsaturated acid (VI) in the presence of either Pd/C or Pt/C yields the required (R)-2-propyloctanoic acid. Alternatively, the title compound is obtained by hydrogenation of the N-acyl sultam (V) to the saturated derivative (VII), followed by hydrolytic removal of the camphorsultam moiety.

合成路线图解说明:

In a related procedure, the N-octanoyl sultam (I) is alkylated by propargyl bromide (II) to produce (III). Hydrolysis of (III) by means of hydrogen peroxide-tetrabutylammonium hydroxide or lithium hydroxide-hydrogen peroxide furnishes acid (IV). Then, catalytic hydrogenation of the propargyloctanoic acid (IV) in the presence of either Pd/C or Pt/C provides the title compound.

参考文献No.712239
标题:A practical removal method of camphorsultam
作者:Hasegawa, T.; Yamamoto, H.
来源:Synlett 1998,(8),882
合成路线图解说明:

The acylation of (-)-2,10-camphorsultam (II) with octanoyl chloride (I) provides the N-octanoyl sultam (III). Diastereoselective alkylation of the lithium enolate of (III) with allyl bromide (IV) gives rise to the (2S)-2-propenoyloctanoyl sultam (V). Hydrolysis of the N-acyl sultam (V) to furnish acid (VI) is then effected by treatment with hydrogen peroxide-tetrabutylammonium hydroxide. Finally, catalytic hydrogenation of the unsaturated acid (VI) in the presence of either Pd/C or Pt/C yields the required (R)-2-propyloctanoic acid. Alternatively, the title compound is obtained by hydrogenation of the N-acyl sultam (V) to the saturated derivative (VII), followed by hydrolytic removal of the camphorsultam moiety.

参考文献No.739693
标题:Process development of ONO-2506: A therapeutic agent for stroke and Alzheimer's disease
作者:Hasegawa, T.; Kawanaka, Y.; Kasamatsu, E.; Iguchi, Y.; Yonekawa, Y.; Okamoto, M.; Ohta, C.; Hashimoto, S.; Ohuchida, S.
来源:Org Process Res Dev 2003,7(2),168
合成路线图解说明:

The acylation of (-)-2,10-camphorsultam (II) with octanoyl chloride (I) provides the N-octanoyl sultam (III). Diastereoselective alkylation of the lithium enolate of (III) with allyl bromide (IV) gives rise to the (2S)-2-propenoyloctanoyl sultam (V). Hydrolysis of the N-acyl sultam (V) to furnish acid (VI) is then effected by treatment with hydrogen peroxide-tetrabutylammonium hydroxide. Finally, catalytic hydrogenation of the unsaturated acid (VI) in the presence of either Pd/C or Pt/C yields the required (R)-2-propyloctanoic acid. Alternatively, the title compound is obtained by hydrogenation of the N-acyl sultam (V) to the saturated derivative (VII), followed by hydrolytic removal of the camphorsultam moiety.

参考文献No.791797
标题:Development of new chiral auxillary derived from (S)-(-)-phenylethylamine for a synthesis of enantiopure (R)-2-propyloctanoic acid
作者:Hasegawa, T.; Yamamoto, H.
来源:Synthesis (Stuttgart) 2003,(8),1181
合成路线图解说明:

Reaction of 1-bromo-2-(methoxymethoxy)benzene (XXVII) with 1(S)-phenylethylamine (XXVIII) by means of Pd2(dba)3, BINAP and t-BuONa in toluene gives the chiral secondary amine (XXIX), which is condensed with octanoyl chloride (XX) by means of BuLi in THF to yield the octanamide (XXX). Cleavage of the MOM protecting group of compound (XXX) by means of HCl and Sc(OTf)3 in methanol affords N-(2-hydroxyphenyl)-N-[1(S)-phenylethyl]octanamide (XXXI), which is stereoselectivelly alkylated with allyl bromide (XXII) and LDA in THF to provide the chiral 2-allyloctanamide (XXXII). Hydrogenation of amide (XXXII) with H2 over Pd/C in methanol yields the corresponding 2-propyl derivative (XXXIII), which is finally submitted to the cleavage of the chiral auxiliary by means of Fe(NO3)3 in refluxing dioxane/water

参考文献No.803754
标题:Gaboxadol
作者:Casta馿r, J.; Silvestre, J.S.; Sorbera, L.A.
来源:Drugs Fut 2004,29(5),449
合成路线图解说明:

The acylation of (-)-2,10-camphorsultam (II) with octanoyl chloride (I) provides the N-octanoyl sultam (III). Diastereoselective alkylation of the lithium enolate of (III) with allyl bromide (IV) gives rise to the (2S)-2-propenoyloctanoyl sultam (V). Hydrolysis of the N-acyl sultam (V) to furnish acid (VI) is then effected by treatment with hydrogen peroxide-tetrabutylammonium hydroxide. Finally, catalytic hydrogenation of the unsaturated acid (VI) in the presence of either Pd/C or Pt/C yields the required (R)-2-propyloctanoic acid. Alternatively, the title compound is obtained by hydrogenation of the N-acyl sultam (V) to the saturated derivative (VII), followed by hydrolytic removal of the camphorsultam moiety.

合成路线图解说明:

In a related procedure, the N-octanoyl sultam (I) is alkylated by propargyl bromide (II) to produce (III). Hydrolysis of (III) by means of hydrogen peroxide-tetrabutylammonium hydroxide or lithium hydroxide-hydrogen peroxide furnishes acid (IV). Then, catalytic hydrogenation of the propargyloctanoic acid (IV) in the presence of either Pd/C or Pt/C provides the title compound.

合成路线图解说明:

Alkylation of dimethyl malonate (I) with hexyl bromide (II) by means of NaOMe in methanol gives dimethyl 2-hexylmalonate (III), which is alkylated again with 2-propynyl bromide (IV) by means of NaOMe in methanol to yield dimethyl 2-hexyl-2-(2-propynyl)malo-nate (V). Selective monodecarboxylation of malonate (V) by means of LiCl in hot DMSO affords methyl 2-(2-propyn- yl)octanoate (VI), which is hydrolyzed to the corres- ponding carboxylic acid (VII) by means of NaOH in methanol. Then, racemic acid (VII) is submitted to optical resolution by crystallization with 1(R)-phenylethylamine (VIII), followed by hydrolysis with HCl to provide 2(S)-(2-propynyl)octanoic acid (IX), which is finally hydrogenated with H2 over Pd/C in ethyl acetate. Alternatively, the racemic acid (VII) can also be obtained by alkylation of ethyl octanoate (X) with 2-pro-pynyl bromide (IV) by means of LDA in HMPA/THF to give ethyl 2-(2-propynyl)octanoate (XI) and then hydrolysis with NaOH in ethanol.

合成路线图解说明:

Reaction of L-prolinol (XII) with pentanoyl chloride (XIII) by means of triethylamine (TEA) in dichloromethane gives N-pentanoyl-L-prolinol (XIV), which is stereoselectively alkylated with hexyl iodide (XV) by means of butyl lithium and diethylamine (DEA) in THF to yield N-[2(R)-propyloctanoyl]-L-prolinol (XVI). This compound is subjected to purification via its esterification with 4-nitrobenzoyl chloride (XVII) and pyridine to the corresponding ester (XVIII) and recrystallization to form n-hexane. Hydrolysis of the pure ester (XVIII) with LiOH in water affords pure N-[2(R)-propyloctanoyl]-L-prolinol (XVI), which is finally treated with HCl in AcOH.

合成路线图解说明:

Reaction of 1-bromo-2-(methoxymethoxy)benzene (XXVII) with 1(S)-phenylethylamine (XXVIII) by means of Pd2(dba)3, BINAP and t-BuONa in toluene gives the chiral secondary amine (XXIX), which is condensed with octanoyl chloride (XX) by means of BuLi in THF to yield the octanamide (XXX). Cleavage of the MOM protecting group of compound (XXX) by means of HCl and Sc(OTf)3 in methanol affords N-(2-hydroxyphenyl)-N-[1(S)-phenylethyl]octanamide (XXXI), which is stereoselectivelly alkylated with allyl bromide (XXII) and LDA in THF to provide the chiral 2-allyloctanamide (XXXII). Hydrogenation of amide (XXXII) with H2 over Pd/C in methanol yields the corresponding 2-propyl derivative (XXXIII), which is finally submitted to the cleavage of the chiral auxiliary by means of Fe(NO3)3 in refluxing dioxane/water

合成路线图解说明:

Acylation of 4(R)-benzyloxazolidin-2-one (XXXIV) with octanoyl chloride (XX) by means of t-BuOK in THF gives 3-octanoyl-4(R)-benzyloxazolidin-2-one (XXXV), which is alkylated with allyl iodide (XXXVI) and LiHMDS in THF to yield the chiral 2-allyloctanoyl amide (XXXVII). Hydrogenation of amide (XXXVII) with H2 over Pd/C in ethanol affords the corresponding 2-propyl derivative (XXXVIII), which is finally submitted to hydrolysis of the chiral auxiliary.

Drug Information Express,Drug R&D,Chemical Database,Patent Search.
Copyright © 2006-2026 Drug Future. All rights reserved.Contact Us