【药物名称】GW-275175X, GW-275175
化学结构式(Chemical Structure):
参考文献No.40309
标题:Benzimidazole derivs.
作者:Daluge, S.M.; Townsend, L.B.; Freeman, G.A.; Deaton, D.N.; Andersen, M.W.; Drach, J.C.; Boyd, F.L. Jr.; Chamberlain, S.D. (Glaxo Group Ltd.; University of Michigan)
来源:WO 9856761
合成路线图解说明:

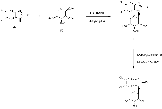
Condensation of 2-bromo-5,6-dichlorobenzimidazole (I) with 1,2,3,4-tetra-O-acetyl-beta-D-ribopyranose (II) by means of trimethylsilyl triflate and N,O-bis(trimethylsilyl)acetamide in refluxing 1,2-dichloroethane afforded the acetylated ribopyranosyl benzimidazole (III). Subsequent hydrolysis of the acetate esters using either LiOH in aqueous dioxan or Na2CO3 in H2O-EtOH yielded the title compound.

参考文献No.547518
标题:Synthesis and evaluation of a series of 1H-benzimidazole pyranosides as anti-human cytomegalovirus agents
作者:Turner, E.M.; Boyd, F.L.; Freeman, G.A.; et al.
来源:218th ACS Natl Meet (Aug 22 1999, New Orleans) 1999,Abst MEDI 283
合成路线图解说明:

Condensation of 2-bromo-5,6-dichlorobenzimidazole (I) with 1,2,3,4-tetra-O-acetyl-beta-D-ribopyranose (II) by means of trimethylsilyl triflate and N,O-bis(trimethylsilyl)acetamide in refluxing 1,2-dichloroethane afforded the acetylated ribopyranosyl benzimidazole (III). Subsequent hydrolysis of the acetate esters using either LiOH in aqueous dioxan or Na2CO3 in H2O-EtOH yielded the title compound.

Drug Information Express,Drug R&D,Chemical Database,Patent Search.
Copyright © 2006-2026 Drug Future. All rights reserved.Contact Us