【药物名称】ZD-4190
化学结构式(Chemical Structure):
参考文献No.561820
标题:Design and structure-activity relationship of a new class of potent VEGF receptor tyrosine kinase inhibitors
作者:Hennequin, L.F.; Thomas, A.P.; Johnstone, C.; Stokes, E.S.; Lohmann, J.J.; Ogilvie, D.J.; Dukes, M.; Wedge, S.R.; Curwen, J.O.; Kendrew, J.; Lambert-van der Brempt, C.
来源:J Med Chem 1999,42(26),5369
合成路线图解说明:

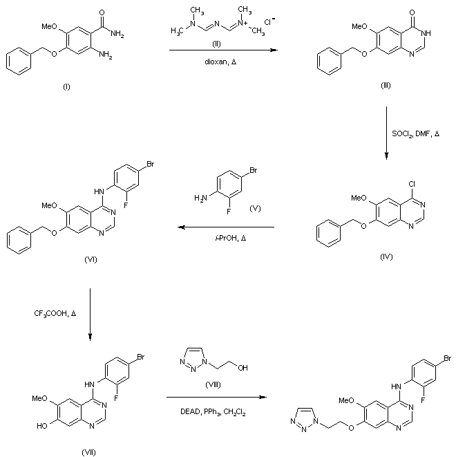
Quinazolinone (III) was prepared by treatment of aminobenzamide (I) with Gold's reagent (II) in refluxing dioxan. Subsequent chlorination using thionyl chloride gave chloroquinazoline (IV). Nucleophilic displacement of the chlorine atom of (IV) with 4-bromo-2-fluoroaniline (V) yielded the anilinoquinazoline (VI). The benzyl group of (VI) was then cleaved with trifluoroacetic acid, and the resulting hydroxyquinazoline (VII) was finally coupled with (hydroxyethyl)triazole (VIII) using DEAD and PPh3 to furnish the title compound.

Drug Information Express,Drug R&D,Chemical Database,Patent Search.
Copyright © 2006-2026 Drug Future. All rights reserved.Contact Us