【药物名称】Alanosine
化学结构式(Chemical Structure):
参考文献No.607781
标题:Improved synthesis of D,L-alanosine
作者:Eaton, C.N.; Denny, G.H.Jr.; Ryder, M.A.; Ly, M.G.; Babson, R.D.
来源:J Med Chem 1973,16(3),289-290
合成路线图解说明:

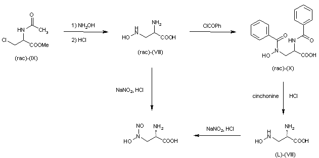
The reaction of methyl 2-acetamido-3-chloropropionate (IX) with hydroxylamine followed by hydrolysis with concentrated HCl gives D,L-2-amino-3-hydroxyaminopropionic acid (VIII), which is benzoylated with benzoyl chloride in aqueous 10% NaOH yielding D,L-2-benzoylamino-3-(N-benzoyl-N-hydroxyamino)propionic acid (X). The resolution of (X) into optical isomers by treatment with cinchonine in ethanol, followed by treatment with 20% HCl at 100 C affords L-2-amino-3-hydroxyaminopropionic acid (L)-(VIII), which is nitrosated with NaNO2 and HCl. Racemic alanosine can be obtained by nitrosation of D,L-2-amino-3-hydroxyaminopropionic acid (VIII) obtained before.

参考文献No.701471
标题:
作者:
来源:US 3823186
合成路线图解说明:

The reaction of methyl 2-acetamido-3-chloropropionate (IX) with hydroxylamine followed by hydrolysis with concentrated HCl gives D,L-2-amino-3-hydroxyaminopropionic acid (VIII), which is benzoylated with benzoyl chloride in aqueous 10% NaOH yielding D,L-2-benzoylamino-3-(N-benzoyl-N-hydroxyamino)propionic acid (X). The resolution of (X) into optical isomers by treatment with cinchonine in ethanol, followed by treatment with 20% HCl at 100 C affords L-2-amino-3-hydroxyaminopropionic acid (L)-(VIII), which is nitrosated with NaNO2 and HCl. Racemic alanosine can be obtained by nitrosation of D,L-2-amino-3-hydroxyaminopropionic acid (VIII) obtained before.

参考文献No.800522
标题:Synthesis of alanosine
作者:Yoshikazu, I.; et al.
来源:Bull Chem Soc Jpn 1973,461847-50
合成路线图解说明:

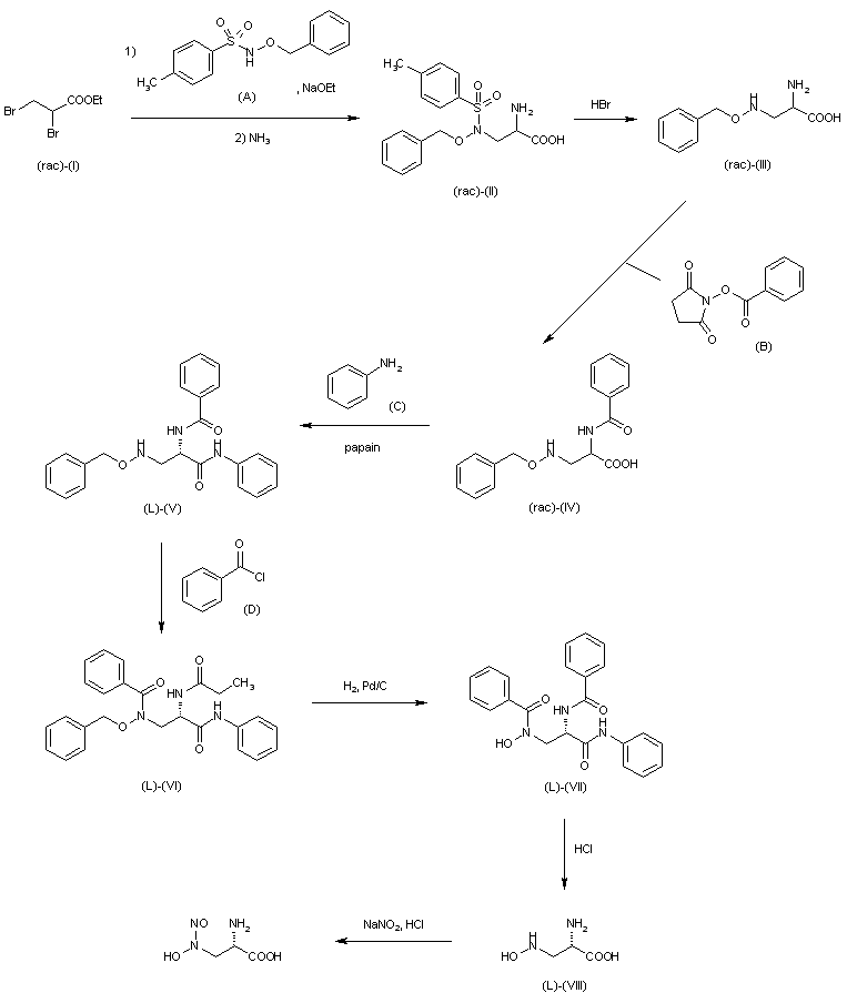
Ethyl 2,3-dibromopropionate (I) is condensed with N-tosyl-O-benzylhydroxylamine (A) by means of NaOEt in ethanol to give after a treatment with ammonia, propionic acid (II), which is detosylated by treatment with phenol and 36% HBr- yielding D,L-2-amino-3-(benzyloxyamino)propionic acid (III). The benzoylation of (III) with N-benzoyloxysuccinimide (B) by means of Triton B - in methanol affords D,L-2-benzoylamino-3-benzyloxyaminopropionic acid (IV), which is resolved into its optical isomers by treatment with aniline (C) and papain in 0.5M NaOH - 0.5M citric acid and L-cysteine hydrochloride; L-2-benzoylamino-3-benzyloxyaminopropionanilide (L)-(V) was isolated. The benzoylation of (L)-(V) with benzoyl chloride (D) in pyridine affords L-2-benzoylamino-3-(N-benzoyl-N-benzyloxyamino)propionanilide (L)-(VI), which is debenzylated by hydrogenation with H2 over Pd/C in methanol giving L-2-benzoylamino-3-(N-benzoyl-N-hydroxyamino)propionanilide (L)-(VII). The protecting groups of (L)-(VII) are eliminated by treatment with 6M HCl at 90-5 C yielding L-2-amino-3-hydroxyaminopropionic acid (L)-(VIII), which is finally nitrosated with NaNO2 and HCl.

参考文献No.800523
标题:Synthesis of homolog of the antibiotic alanosine
作者:Lancini, G.C.; et al.
来源:Farmaco 1969,24(2),169-178
合成路线图解说明:

The reaction of methyl 2-acetamido-3-chloropropionate (IX) with hydroxylamine followed by hydrolysis with concentrated HCl gives D,L-2-amino-3-hydroxyaminopropionic acid (VIII), which is benzoylated with benzoyl chloride in aqueous 10% NaOH yielding D,L-2-benzoylamino-3-(N-benzoyl-N-hydroxyamino)propionic acid (X). The resolution of (X) into optical isomers by treatment with cinchonine in ethanol, followed by treatment with 20% HCl at 100 C affords L-2-amino-3-hydroxyaminopropionic acid (L)-(VIII), which is nitrosated with NaNO2 and HCl. Racemic alanosine can be obtained by nitrosation of D,L-2-amino-3-hydroxyaminopropionic acid (VIII) obtained before.

参考文献No.800525
标题:Alanosine
作者:Serradell, M.N.; Casta馿r, J.; Cabanillas, F.; Blancafort, P.
来源:Drugs Fut 1979,4(7),469
合成路线图解说明:

Ethyl 2,3-dibromopropionate (I) is condensed with N-tosyl-O-benzylhydroxylamine (A) by means of NaOEt in ethanol to give after a treatment with ammonia, propionic acid (II), which is detosylated by treatment with phenol and 36% HBr- yielding D,L-2-amino-3-(benzyloxyamino)propionic acid (III). The benzoylation of (III) with N-benzoyloxysuccinimide (B) by means of Triton B - in methanol affords D,L-2-benzoylamino-3-benzyloxyaminopropionic acid (IV), which is resolved into its optical isomers by treatment with aniline (C) and papain in 0.5M NaOH - 0.5M citric acid and L-cysteine hydrochloride; L-2-benzoylamino-3-benzyloxyaminopropionanilide (L)-(V) was isolated. The benzoylation of (L)-(V) with benzoyl chloride (D) in pyridine affords L-2-benzoylamino-3-(N-benzoyl-N-benzyloxyamino)propionanilide (L)-(VI), which is debenzylated by hydrogenation with H2 over Pd/C in methanol giving L-2-benzoylamino-3-(N-benzoyl-N-hydroxyamino)propionanilide (L)-(VII). The protecting groups of (L)-(VII) are eliminated by treatment with 6M HCl at 90-5 C yielding L-2-amino-3-hydroxyaminopropionic acid (L)-(VIII), which is finally nitrosated with NaNO2 and HCl.

合成路线图解说明:

The reaction of methyl 2-acetamido-3-chloropropionate (IX) with hydroxylamine followed by hydrolysis with concentrated HCl gives D,L-2-amino-3-hydroxyaminopropionic acid (VIII), which is benzoylated with benzoyl chloride in aqueous 10% NaOH yielding D,L-2-benzoylamino-3-(N-benzoyl-N-hydroxyamino)propionic acid (X). The resolution of (X) into optical isomers by treatment with cinchonine in ethanol, followed by treatment with 20% HCl at 100 C affords L-2-amino-3-hydroxyaminopropionic acid (L)-(VIII), which is nitrosated with NaNO2 and HCl. Racemic alanosine can be obtained by nitrosation of D,L-2-amino-3-hydroxyaminopropionic acid (VIII) obtained before.

Drug Information Express,Drug R&D,Chemical Database,Patent Search.
Copyright © 2006-2026 Drug Future. All rights reserved.Contact Us