【药物名称】LY-117018
化学结构式(Chemical Structure):
参考文献No.701302
标题:2-Phenyl-3-aroylbenzothiophenes useful as antifertility agents
作者:Jones, C.D.; Suarez, T.
来源:DE 2647907; ES 452694; ES 452695; FR 2329271; GB 1570610; JP 52053851; US 4133814
合成路线图解说明:

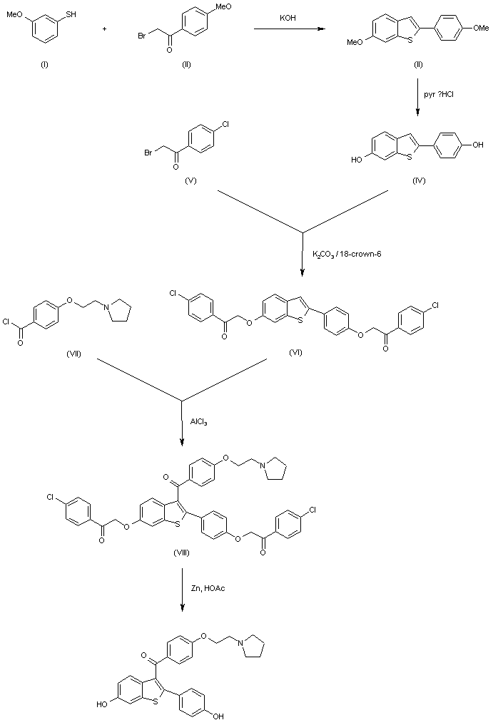
The cyclization of 3-methoxythiophenol (I) with 4-methoxyphenacyl bromide (II) by means of KOH in ethanol gives 2-(4-methoxyphenyl)-6-methoxybenzothiophene (III), which is treated with pyridinium hydrochloride at 220 C to yield 2-(4-hydroxyphenyl)-6-hydroxybenzothiophene (IV). The protection of the hydroxy groups of (IV) by reaction with 4-chlorophenacyl bromide (V) and K2CO3 - 18-crown 6 in refluxing ether affords the bis p-chlorophenacyloxy derivative (VI), which by a Friedel-Kraft's reaction with 4-(2-pyrrolidinoethoxy)benzoyl chloride (VII) by means of AlCl3 in refluxing dichloroethane is converted into 2-[4-(4-chlorophenacyloxy)phenyl]-3-[4-(2-pyrrolidinoethoxy)benzoyl]-6-(4-chlorophenacyloxy)benzothiophene (VIII). Finally, this compound is deprotected by treatment with Zn and acetic acid.

参考文献No.701303
标题:2-Phenyl-3-aroylbenzothiophenes useful as antifertility agents
作者:Jones, C.D.; Suarez, T.
来源:DE 2647907; ES 452694; ES 452695; FR 2329271; GB 1570610; JP 52053851; US 4133814
合成路线图解说明:

The cyclization of 3-methoxythiophenol (I) with 4-methoxyphenacyl bromide (II) by means of KOH in ethanol gives 2-(4-methoxyphenyl)-6-methoxybenzothiophene (III), which is treated with pyridinium hydrochloride at 220 C to yield 2-(4-hydroxyphenyl)-6-hydroxybenzothiophene (IV). The protection of the hydroxy groups of (IV) by reaction with 4-chlorophenacyl bromide (V) and K2CO3 - 18-crown 6 in refluxing ether affords the bis p-chlorophenacyloxy derivative (VI), which by a Friedel-Kraft's reaction with 4-(2-pyrrolidinoethoxy)benzoyl chloride (VII) by means of AlCl3 in refluxing dichloroethane is converted into 2-[4-(4-chlorophenacyloxy)phenyl]-3-[4-(2-pyrrolidinoethoxy)benzoyl]-6-(4-chlorophenacyloxy)benzothiophene (VIII). Finally, this compound is deprotected by treatment with Zn and acetic acid.

参考文献No.800404
标题:LY-117018
作者:Blancafort, P.; Casta馿r, J.; Serradell, M.N.
来源:Drugs Fut 1982,7(2),112
合成路线图解说明:

The cyclization of 3-methoxythiophenol (I) with 4-methoxyphenacyl bromide (II) by means of KOH in ethanol gives 2-(4-methoxyphenyl)-6-methoxybenzothiophene (III), which is treated with pyridinium hydrochloride at 220 C to yield 2-(4-hydroxyphenyl)-6-hydroxybenzothiophene (IV). The protection of the hydroxy groups of (IV) by reaction with 4-chlorophenacyl bromide (V) and K2CO3 - 18-crown 6 in refluxing ether affords the bis p-chlorophenacyloxy derivative (VI), which by a Friedel-Kraft's reaction with 4-(2-pyrrolidinoethoxy)benzoyl chloride (VII) by means of AlCl3 in refluxing dichloroethane is converted into 2-[4-(4-chlorophenacyloxy)phenyl]-3-[4-(2-pyrrolidinoethoxy)benzoyl]-6-(4-chlorophenacyloxy)benzothiophene (VIII). Finally, this compound is deprotected by treatment with Zn and acetic acid.

Drug Information Express,Drug R&D,Chemical Database,Patent Search.
Copyright © 2006-2026 Drug Future. All rights reserved.Contact Us