【药物名称】T-98475
化学结构式(Chemical Structure):
参考文献No.476293
标题:Discovery of a novel, potent, and orally active no
作者:Cho, N.; Harada, M.; Imaeda, T.; Imada, T.; Matsumoto, H.; Hayase, Y.; Sasaki, S.; Furuya, S.; Suzuki, N.; Okubo, S.; Ogi, K.; Endo, S.; Onda, H.; Fujino, M.
来源:J Med Chem 1998,41(22),4190
合成路线图解说明:

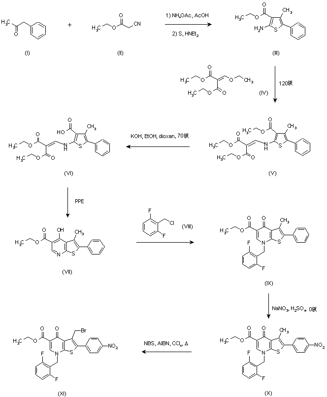
Aminothiophene (III) was prepared by condensation of phenylacetone (I) with ethyl cyanoacetate (II), followed by treatment with sulfur and diethylamine. Subsequent condensation of (III) with diethyl ethoxymethylenemalonate (IV) at 120 C provided the enaminomalonate (V). the partial hydrolysis of (V) with KOH in EtOH-dioxan provided monoacid (VI), which was cyclized by means of PPE to the thienopyridine (VII). Alkylation of (VII) with 2,6-difluorobenzyl chloride (VIII) and K2CO3 yielded predominantly the N-benzylated compound (IX), which was selectively nitrated at the phenyl ring to produce (X) (2). Radical bromination of the 3-methyl group of (X) gave bromomethyl compound (XI).

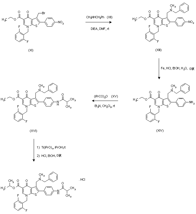
合成路线图解说明:

Compound (XI) was condensed with methyl benzyl amine (XII) to furnish tertiary amine (XIII). The nitro group of (XIII) was then reduced with iron powder and HCl to afford amine (XIV). Subsequent acylation of (XIV) with isobutyric anhydride (XV) in the presence of Et3N produced amide (XVI). The title compound was then obtained by transesterification between (XVI) and titanium isopropoxide in isopropanol, followed by treatment with ethanolic HCl.

Drug Information Express,Drug R&D,Chemical Database,Patent Search.
Copyright © 2006-2026 Drug Future. All rights reserved.Contact Us