【药物名称】SC-alphaalphadelta9
化学结构式(Chemical Structure):
参考文献No.34875
标题:Phosphatase inhibitors and methods of use thereof
作者:Lazo, J.S.; Rice, R.L.; Cunningham, A.; Wipf, P. (University of Pittsburgh)
来源:EP 0959884; US 5700821; WO 9804257
合成路线图解说明:

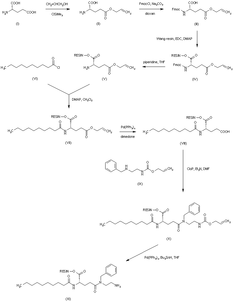
Protection of L-glutamic acid (I) with allyl alcohol and chlorotrimethylsilane produced the gamma-allyl ester (II). Subsequent treatment of (II) with fluorenylmethoxycarbonyl chloride afforded the N-Fmoc derivative (III). This was coupled to Wang resin using EDC and DMAP to provide the glutamate-coupled resin (IV). Removal of the Fmoc protecting group by means of piperidine gave (V), which was then condensed with decanoyl chloride (VI) yielding amide (VII). The allyl ester was then cleaved by treatment with Pd(PPh3)4 and the resulting carboxylic acid (VIII) was coupled with monoprotected diamine (IX) to furnish diamide (X). Deprotection of the allyl carbamate of (X) provided amine (XI).

合成路线图解说明:

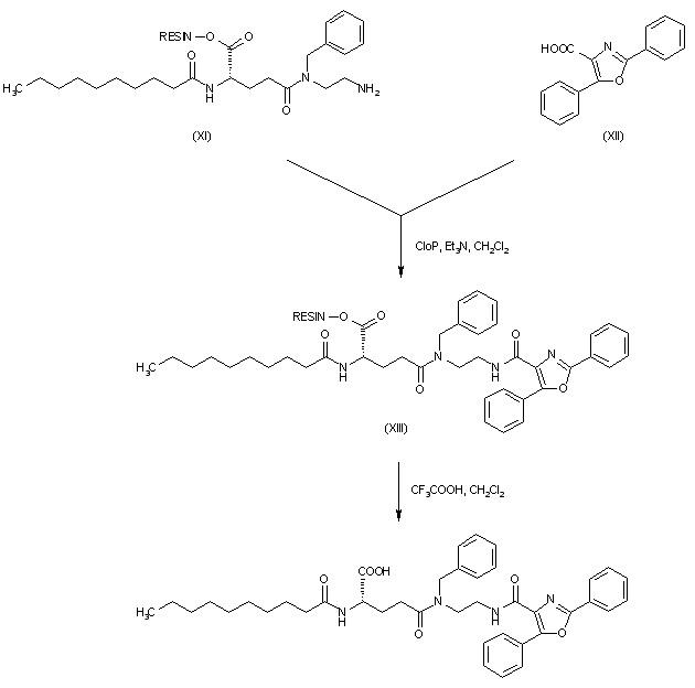
Amine (XI) was coupled to isoxazolecarboxylic acid (XII) to give (XIII). which was finally liberated from the resin by cleavage with trifluoroacetic acid in CH2Cl2.

参考文献No.531828
标题:Combinatorial synthesis and biological evaluation of library of small-molecule Ser/Thr-protein phosphatase inhibitors
作者:Wipf, P.; Cunningham, A.; Rice, R.L.; Lazo, J.S.
来源:Bioorg Med Chem 1997,5(1),165
合成路线图解说明:

Protection of L-glutamic acid (I) with allyl alcohol and chlorotrimethylsilane produced the gamma-allyl ester (II). Subsequent treatment of (II) with fluorenylmethoxycarbonyl chloride afforded the N-Fmoc derivative (III). This was coupled to Wang resin using EDC and DMAP to provide the glutamate-coupled resin (IV). Removal of the Fmoc protecting group by means of piperidine gave (V), which was then condensed with decanoyl chloride (VI) yielding amide (VII). The allyl ester was then cleaved by treatment with Pd(PPh3)4 and the resulting carboxylic acid (VIII) was coupled with monoprotected diamine (IX) to furnish diamide (X). Deprotection of the allyl carbamate of (X) provided amine (XI).

合成路线图解说明:

Amine (XI) was coupled to isoxazolecarboxylic acid (XII) to give (XIII). which was finally liberated from the resin by cleavage with trifluoroacetic acid in CH2Cl2.

Drug Information Express,Drug R&D,Chemical Database,Patent Search.
Copyright © 2006-2026 Drug Future. All rights reserved.Contact Us