【药物名称】FR-184280
化学结构式(Chemical Structure):
参考文献No.476316
标题:A novel class of orally active non-peptide bradykinin B2 receptor antagonists. 3. Discovering bioisosteres of the imidazo[1,2-a]pyridine moiety
作者:Abe, Y.; Kayakiri, H.; Satoh, S.; Inoue, T.; Sawada, Y.; Inamura, N.; Asano, M.; Aramori, I.; Hatori, C.; Sawai, H.; Oku, T.; Tanaka, H.
来源:J Med Chem 1998,41(21),4062
合成路线图解说明:

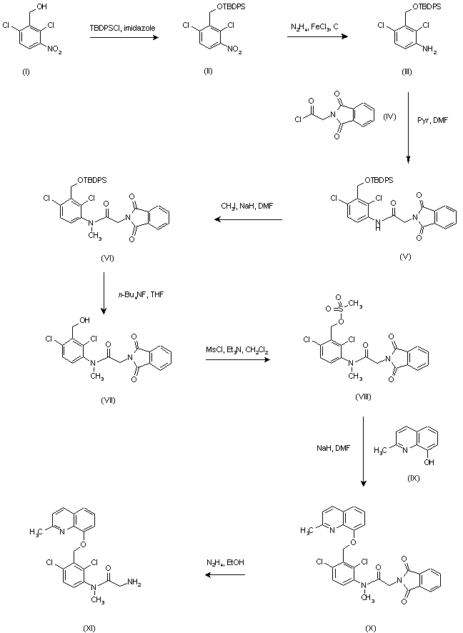
Protection of 2,4-dichloro-3-nitrobenzyl alcohol (I) with tert-butyldiphenylsilyl chloride (TBDPSCl) in the presence of imidazole in DMF provided silyl ether (II). Then, reduction of the nitro group with hydrazine, FeCl3, and carbon gave aniline (III), which was condensed with N-phthaloylglycyl chloride (IV) to afford glycinamide (V). Alkylation with iodomethane in the presence of NaH yielded N-methylaniline (VI) and, then, the silyl ether was deprotected with tetra-n-butylammonium fluoride to produce alcohol (VII). Treatment with methanesulfonyl chloride provided mesylate (VIII), which was coupled with quinolinol (IX) in the presence of NaH in DMF to give ether (X). Subsequent removal of the N-phthaloyl group with hydrazine hydrate yielded amine (XI).

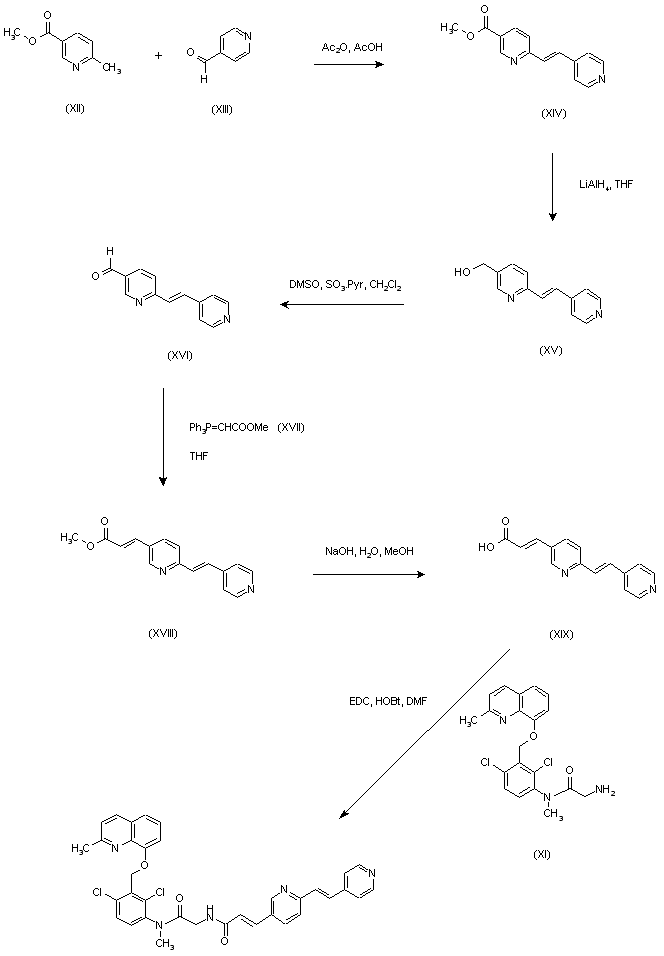
合成路线图解说明:

Methyl 6-methylnicotinate (XII) was condensed with 4-pyridinecarboxaldehyde (XIII) in AcOH-Ac2O at 120 C to produce (XIV). Then, ester group was reduced with LiAlH4 to alcohol (XV), and this was subsequently oxidized with DMSO and SO3-pyridine complex to give aldehyde (XVI). Wittig reaction with phosphorane (XVII) afforded ester (XVIII), which was saponified to yield acid (XIX). Finally, coupling of acid (XIX) with amine (XI) in the presence of EDC and HOBt provided the title amide.

Drug Information Express,Drug R&D,Chemical Database,Patent Search.
Copyright © 2006-2026 Drug Future. All rights reserved.Contact Us