【药物名称】Amdoxovir, (-)-DAPD, DAPD
化学结构式(Chemical Structure):
参考文献No.23232
标题:Enantiomerically pure beta-D-dioxolane-nucleosides
作者:Chu, C.K.; Schinazi, R.F. (Emory University; University of Georgia)
来源:US 5925643; WO 9404154
合成路线图解说明:

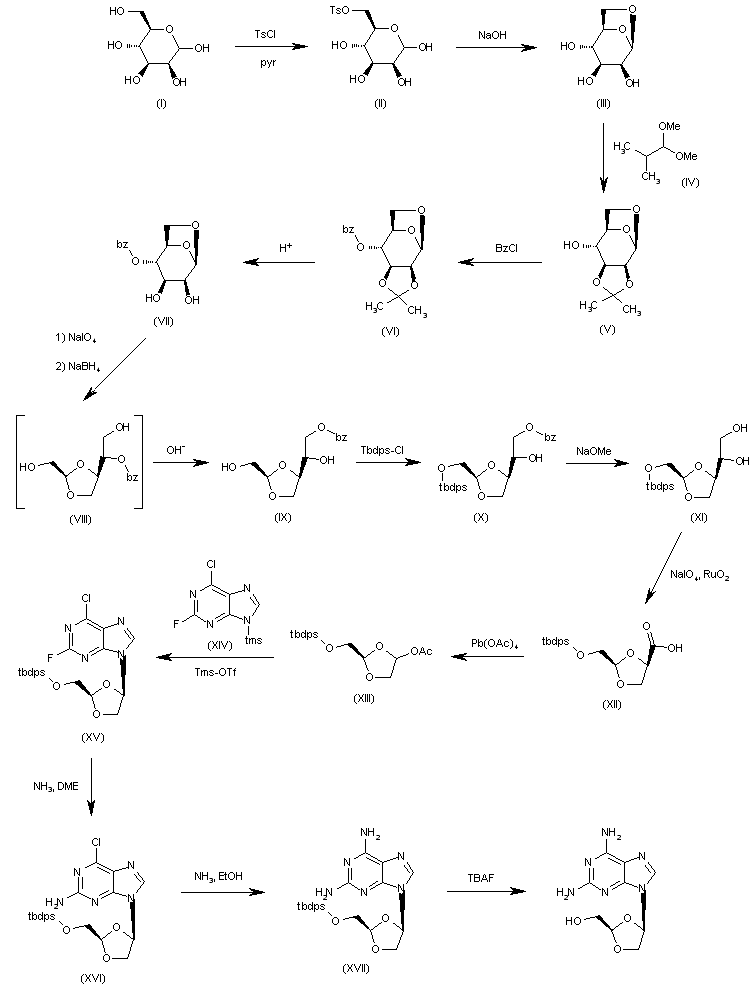
The selective tosylation of D-mannose (I) with Ts-Cl in pyridine gives 6-O-tosyl-D-mannose (II), which is cyclized by means of NaOH in pyridine/water, yielding 1,6-anhydro-D-mannose (III) (1). The protection of (III) with 2,2-dimethoxypropane (IV) and TsOH in acetone gives the isopropylidene ketal (V), which is acylated with benzoyl chloride in pyridine, yielding benzoate (VI). The deprotection of (VI) with H2SO4 in dioxane affords 4-O-benzoyl-1,6-anhydro-D-mannose (VII), which is treated first with NaIO4 and then reduced with NaBH4, providing the dioxolane (VIII). This compound without isolation is rearranged in basic medium to the dioxolane (IX), which is selectively silylated with Tbdps-Cl to give the silyl ether (X). The hydrolysis of (X) with NaOMe in methanol yields the diol (XI), which is oxidized with NaIO4 and RuO2 in acetonitrile, affording the carboxylic acid (XII). The modified Hunsdiecker reaction of (XII) with Pb(OAc)4 in ethyl acetate yields the acetoxydioxolane (XIII) (2-4), which is condensed with 6-chloro-2-fluoro-9-(trimethylsilyl)purine (XIV) by means of Tms-OTf in dichloromethane to afford the nucleoside (XV). The reaction of (XV) with NH3 in dimethoxyethane gives the 2-amino-6-chloronucleoside (XVI), which is treated with NH3 in methanol to yield the 2,6-diaminonucleoside (XVII). Finally, this compound is desilylated with TBAF in THF.

参考文献No.23781
标题:Enantiomerically pure beta-D-dioxolane nucleosides with selective anti-hepatitis B virus activity
作者:Schinazi, R.P. (Emory University)
来源:JP 1996507286; US 5444063; WO 9409793
合成路线图解说明:

The selective tosylation of D-mannose (I) with Ts-Cl in pyridine gives 6-O-tosyl-D-mannose (II), which is cyclized by means of NaOH in pyridine/water, yielding 1,6-anhydro-D-mannose (III) (1). The protection of (III) with 2,2-dimethoxypropane (IV) and TsOH in acetone gives the isopropylidene ketal (V), which is acylated with benzoyl chloride in pyridine, yielding benzoate (VI). The deprotection of (VI) with H2SO4 in dioxane affords 4-O-benzoyl-1,6-anhydro-D-mannose (VII), which is treated first with NaIO4 and then reduced with NaBH4, providing the dioxolane (VIII). This compound without isolation is rearranged in basic medium to the dioxolane (IX), which is selectively silylated with Tbdps-Cl to give the silyl ether (X). The hydrolysis of (X) with NaOMe in methanol yields the diol (XI), which is oxidized with NaIO4 and RuO2 in acetonitrile, affording the carboxylic acid (XII). The modified Hunsdiecker reaction of (XII) with Pb(OAc)4 in ethyl acetate yields the acetoxydioxolane (XIII) (2-4), which is condensed with 6-chloro-2-fluoro-9-(trimethylsilyl)purine (XIV) by means of Tms-OTf in dichloromethane to afford the nucleoside (XV). The reaction of (XV) with NH3 in dimethoxyethane gives the 2-amino-6-chloronucleoside (XVI), which is treated with NH3 in methanol to yield the 2,6-diaminonucleoside (XVII). Finally, this compound is desilylated with TBAF in THF.

参考文献No.242785
标题:1,3-Dioxolanylpurine nucleosides (2R,4R) and (2R,4S) with selective anti-HIV-1 activity in human lymphocytes
作者:Kim, H.O.; Schinazi, R.F.; Nampalli, S.; Shanmuganathan, K.; Cannon, D.L.; Alves, A.J.; Jeong, L.S.; Beach, J.W.; Chu, C.K.
来源:J Med Chem 1993,36(1),30
合成路线图解说明:

The selective tosylation of D-mannose (I) with Ts-Cl in pyridine gives 6-O-tosyl-D-mannose (II), which is cyclized by means of NaOH in pyridine/water, yielding 1,6-anhydro-D-mannose (III) (1). The protection of (III) with 2,2-dimethoxypropane (IV) and TsOH in acetone gives the isopropylidene ketal (V), which is acylated with benzoyl chloride in pyridine, yielding benzoate (VI). The deprotection of (VI) with H2SO4 in dioxane affords 4-O-benzoyl-1,6-anhydro-D-mannose (VII), which is treated first with NaIO4 and then reduced with NaBH4, providing the dioxolane (VIII). This compound without isolation is rearranged in basic medium to the dioxolane (IX), which is selectively silylated with Tbdps-Cl to give the silyl ether (X). The hydrolysis of (X) with NaOMe in methanol yields the diol (XI), which is oxidized with NaIO4 and RuO2 in acetonitrile, affording the carboxylic acid (XII). The modified Hunsdiecker reaction of (XII) with Pb(OAc)4 in ethyl acetate yields the acetoxydioxolane (XIII) (2-4), which is condensed with 6-chloro-2-fluoro-9-(trimethylsilyl)purine (XIV) by means of Tms-OTf in dichloromethane to afford the nucleoside (XV). The reaction of (XV) with NH3 in dimethoxyethane gives the 2-amino-6-chloronucleoside (XVI), which is treated with NH3 in methanol to yield the 2,6-diaminonucleoside (XVII). Finally, this compound is desilylated with TBAF in THF.

参考文献No.541410
标题:Asymetric synthesis of 1,3-dioxolane-pyrimidine nucleosides and their anti-HIV activity
作者:Kim, H.O.; Ahn, S.K.; Alves, A.J.; Beach, J.W.; Jeong, L.S.; Choi, B.G.; Van Roey, P.; Schinazi, R.F.; Chu, C.K.
来源:J Med Chem 1992,35(11),1987
合成路线图解说明:

The selective tosylation of D-mannose (I) with Ts-Cl in pyridine gives 6-O-tosyl-D-mannose (II), which is cyclized by means of NaOH in pyridine/water, yielding 1,6-anhydro-D-mannose (III) (1). The protection of (III) with 2,2-dimethoxypropane (IV) and TsOH in acetone gives the isopropylidene ketal (V), which is acylated with benzoyl chloride in pyridine, yielding benzoate (VI). The deprotection of (VI) with H2SO4 in dioxane affords 4-O-benzoyl-1,6-anhydro-D-mannose (VII), which is treated first with NaIO4 and then reduced with NaBH4, providing the dioxolane (VIII). This compound without isolation is rearranged in basic medium to the dioxolane (IX), which is selectively silylated with Tbdps-Cl to give the silyl ether (X). The hydrolysis of (X) with NaOMe in methanol yields the diol (XI), which is oxidized with NaIO4 and RuO2 in acetonitrile, affording the carboxylic acid (XII). The modified Hunsdiecker reaction of (XII) with Pb(OAc)4 in ethyl acetate yields the acetoxydioxolane (XIII) (2-4), which is condensed with 6-chloro-2-fluoro-9-(trimethylsilyl)purine (XIV) by means of Tms-OTf in dichloromethane to afford the nucleoside (XV). The reaction of (XV) with NH3 in dimethoxyethane gives the 2-amino-6-chloronucleoside (XVI), which is treated with NH3 in methanol to yield the 2,6-diaminonucleoside (XVII). Finally, this compound is desilylated with TBAF in THF.

参考文献No.574819
标题:Asymmetric synthesis of enantiomerically pure (-)-(1'R,4'R)-dioxolane-thymine and its anti-HIV activity
作者:Islam, Q.; Kim, K.O.; Alves, A.J.; Van Roey, P.; Chu, C.K.; Ahn, S.K.; Schinazi, R.F.; Beach, J.W.; Jeong, L.S.
来源:Tetrahedron Lett 1991,32(31),3791
合成路线图解说明:

The selective tosylation of D-mannose (I) with Ts-Cl in pyridine gives 6-O-tosyl-D-mannose (II), which is cyclized by means of NaOH in pyridine/water, yielding 1,6-anhydro-D-mannose (III) (1). The protection of (III) with 2,2-dimethoxypropane (IV) and TsOH in acetone gives the isopropylidene ketal (V), which is acylated with benzoyl chloride in pyridine, yielding benzoate (VI). The deprotection of (VI) with H2SO4 in dioxane affords 4-O-benzoyl-1,6-anhydro-D-mannose (VII), which is treated first with NaIO4 and then reduced with NaBH4, providing the dioxolane (VIII). This compound without isolation is rearranged in basic medium to the dioxolane (IX), which is selectively silylated with Tbdps-Cl to give the silyl ether (X). The hydrolysis of (X) with NaOMe in methanol yields the diol (XI), which is oxidized with NaIO4 and RuO2 in acetonitrile, affording the carboxylic acid (XII). The modified Hunsdiecker reaction of (XII) with Pb(OAc)4 in ethyl acetate yields the acetoxydioxolane (XIII) (2-4), which is condensed with 6-chloro-2-fluoro-9-(trimethylsilyl)purine (XIV) by means of Tms-OTf in dichloromethane to afford the nucleoside (XV). The reaction of (XV) with NH3 in dimethoxyethane gives the 2-amino-6-chloronucleoside (XVI), which is treated with NH3 in methanol to yield the 2,6-diaminonucleoside (XVII). Finally, this compound is desilylated with TBAF in THF.

参考文献No.604701
标题:A practical efficient large-scale synthesis of 1,6-anhydrohexopyranoses
作者:Zottola, M.A.; Vite, G.D.; Alonso, R.; Fraser-Reid, B.
来源:J Org Chem 1989,54(26),6123
合成路线图解说明:

The selective tosylation of D-mannose (I) with Ts-Cl in pyridine gives 6-O-tosyl-D-mannose (II), which is cyclized by means of NaOH in pyridine/water, yielding 1,6-anhydro-D-mannose (III) (1). The protection of (III) with 2,2-dimethoxypropane (IV) and TsOH in acetone gives the isopropylidene ketal (V), which is acylated with benzoyl chloride in pyridine, yielding benzoate (VI). The deprotection of (VI) with H2SO4 in dioxane affords 4-O-benzoyl-1,6-anhydro-D-mannose (VII), which is treated first with NaIO4 and then reduced with NaBH4, providing the dioxolane (VIII). This compound without isolation is rearranged in basic medium to the dioxolane (IX), which is selectively silylated with Tbdps-Cl to give the silyl ether (X). The hydrolysis of (X) with NaOMe in methanol yields the diol (XI), which is oxidized with NaIO4 and RuO2 in acetonitrile, affording the carboxylic acid (XII). The modified Hunsdiecker reaction of (XII) with Pb(OAc)4 in ethyl acetate yields the acetoxydioxolane (XIII) (2-4), which is condensed with 6-chloro-2-fluoro-9-(trimethylsilyl)purine (XIV) by means of Tms-OTf in dichloromethane to afford the nucleoside (XV). The reaction of (XV) with NH3 in dimethoxyethane gives the 2-amino-6-chloronucleoside (XVI), which is treated with NH3 in methanol to yield the 2,6-diaminonucleoside (XVII). Finally, this compound is desilylated with TBAF in THF.

Drug Information Express,Drug R&D,Chemical Database,Patent Search.
Copyright © 2006-2026 Drug Future. All rights reserved.Contact Us