【药物名称】Bazedoxifene acetate, WAY-140424, TSE-424
化学结构式(Chemical Structure):
参考文献No.34481
标题:Estrogenic agents
作者:Miller, C.P.; Tran, B.D.; Collini, M.D. (American Home Products Corp.)
来源:EP 0802183; JP 1998036346; US 5998402
合成路线图解说明:

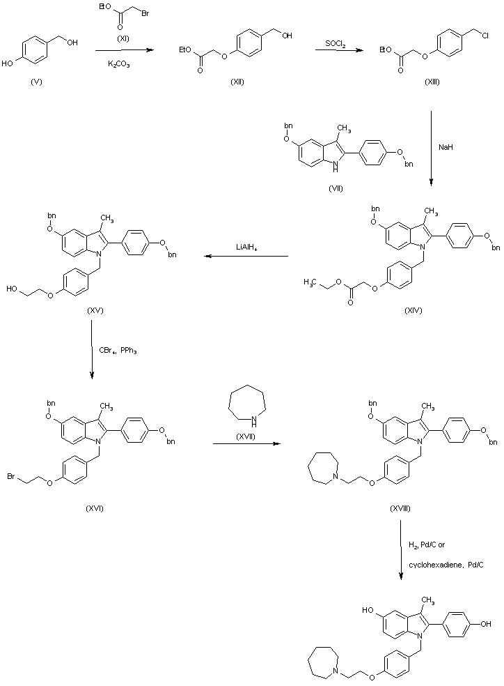
The reaction of 4-hydroxybenzyl alcohol (V) with ethyl 2-bromoacetate (XI) by means of K2CO3 gives the phenoxyacetate (XII), which is then treated with SOCl2 in THF to obtain the benzyl chloride (XIII). Reaction of (XIII) with the indole derivative (VII) by means of NaH in DMF yields the adduct (XIV), whose ester group is reduced with LiAlH4 in THF to afford the 2-hydroxyethoxy compound (XV). Treatment of (XV) with CBr4 and PPh3 in THF provides the 2-bromoethoxy compound (XVI), which is converted into compound (XVIIII) by reaction with hexamethyleneimine (homopiperidine) (XVII) in THF. Finally, compound (XVIII) is debenzylated by hydrogenation with either H2 over Pd/C in ethanol/THF or with cyclohexadiene and Pd/C in THF/EtOH.

合成路线图解说明:

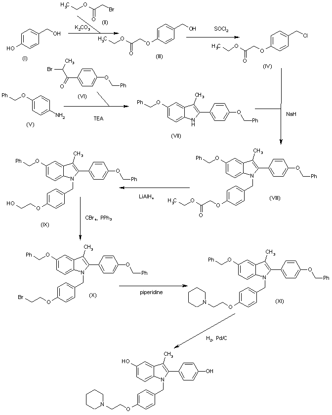
The intermediate 2-[4-(chloromethyl)phenoxy]acetic acid ethyl ester (IV) has been obtained as follows: The reaction of 4-hydroxybenzyl alcohol (I) with ethyl 2-bromoacetate (II) by means of K2CO3 gives the phenoxyacetate (III), which is then treated with SOCl2 in THF to obtain the desired intermediate (IV). The cyclization of 4-(benzyloxy)aniline (V) with 2-bromo-1-[4-(benzyloxy)phenyl]-1-propanone (VI) by means of TEA in DMF gives 5-(benzyloxy)-2-[4-(benzyloxy)phenyl]-3-methyl-1H-indole (VII), which is alkylated with the intermediate (IV) by means of NaH in DMF to yield the adduct (VIII). The reduction of the ester group of (VIII) with LiAlH4 in THF affords the 2-hydroxyethoxy compound (IX), which is treated with CBr4 and PPh3 in THF to provide the 2-bromoethoxy compound (X). The reaction of (X) with piperidine in THF gives the piperidinoethoxy compound (XI), which is finally debenzylated by hydrogenation with H2 over Pd/C in ethanol/THF to afford the target indole derivative.

参考文献No.39049
标题:Novel aryloxy-alkyl-dialkylamines
作者:Vid, G.; Potoski, J.R.; Raveendranath, P.; Zeldis, J.; Ren, J. (American Home Products Corp.)
来源:EP 1025077; WO 9919293
合成路线图解说明:

Alkylation of 4-hydroxybenzaldehyde (I) with chloro derivative (II) by means of K2CO3 in DMF at reflux affords benzaldehyde derivative (III), which is reduced with NaBH4 in MeOH to provide the benzylic alcohol (IV) --alternatively, alcohol (IV) can be obtained by reaction of 4-hydroxybenzyl alcohol (V) with chloro derivative (II) by means of NaOH and benzyltriethylammonium bromide in toluene--. Alcohol (V) is treated with HCl in THF and then chlorinated with SOCl2 to furnish hydrochloride salt (VI), which is condensed with the indole derivative (VII) ?produced by condensation of the bromo ketone (VIII) and 4-benzyloxyaniline hydrochloride (IX) either refluxing by with DMF or with Et3N in refluxing DMF ?by means of NaH in DMF to give the N-alkylated indole (X). Finally, the O-benzyl protecting groups of (X) are removed by transfer hydrogenolysis using cyclohexadiene and Pd/C.

合成路线图解说明:

Alkylation of p-hydroxybenzaldehyde (I) with 1-(2-chloroethyl)piperidine (II) afforded 4-(2-piperidinylethoxy)benzaldehyde (III). Aldehyde function reduction using NaBH4 provided the benzylic alcohol (IV). Alternatively, alcohol (IV) can be obtained by reaction of 4-hydroxybenzyl alcohol (A) with 1-(2-chloroethyl)piperidine hydrochloride (II) by means of NaOH and benzyl triethylammonium bromide in toluene.The hydrochloride salt of (IV) was then treated with SOCl2 to furnish chloride (V).

合成路线图解说明:

Condensation between p-benzyloxyaniline (VI) and bromo ketone (VII) in refluxing DMF produced the indole derivative (VIII). Alkylation of (VIII) with chloride (V) in the presence of NaH gave the N-alkylated indole (IX). The O-benzyl protecting groups of (IX) were then removed by transfer hydrogenolysis using cyclohexadiene and Pd/C.

参考文献No.619211
标题:Design, synthesis, and preclinical characterization of novel, highly selective indole estrogens
作者:Miller, C.P.; Tran, B.D.; Collini, M.D.; Harris, H.A.; Kharode, Y.P.; Marzolf, J.T.; Moran, R.A.; Henderson, R.A.; Bender, R.H.W.; Unwalla, R.J.; Greenberger, L.M.; Yardley, J.P.; Abou-Gharbia, M.A.; Lyttle, C.R.; Komm, B.S.
来源:J Med Chem 2001,44(11),1654
合成路线图解说明:

Alkylation of 4-hydroxybenzaldehyde (I) with chloro derivative (II) by means of K2CO3 in DMF at reflux affords benzaldehyde derivative (III), which is reduced with NaBH4 in MeOH to provide the benzylic alcohol (IV) --alternatively, alcohol (IV) can be obtained by reaction of 4-hydroxybenzyl alcohol (V) with chloro derivative (II) by means of NaOH and benzyltriethylammonium bromide in toluene--. Alcohol (V) is treated with HCl in THF and then chlorinated with SOCl2 to furnish hydrochloride salt (VI), which is condensed with the indole derivative (VII) ?produced by condensation of the bromo ketone (VIII) and 4-benzyloxyaniline hydrochloride (IX) either refluxing by with DMF or with Et3N in refluxing DMF ?by means of NaH in DMF to give the N-alkylated indole (X). Finally, the O-benzyl protecting groups of (X) are removed by transfer hydrogenolysis using cyclohexadiene and Pd/C.

合成路线图解说明:

The reaction of 4-hydroxybenzyl alcohol (V) with ethyl 2-bromoacetate (XI) by means of K2CO3 gives the phenoxyacetate (XII), which is then treated with SOCl2 in THF to obtain the benzyl chloride (XIII). Reaction of (XIII) with the indole derivative (VII) by means of NaH in DMF yields the adduct (XIV), whose ester group is reduced with LiAlH4 in THF to afford the 2-hydroxyethoxy compound (XV). Treatment of (XV) with CBr4 and PPh3 in THF provides the 2-bromoethoxy compound (XVI), which is converted into compound (XVIIII) by reaction with hexamethyleneimine (homopiperidine) (XVII) in THF. Finally, compound (XVIII) is debenzylated by hydrogenation with either H2 over Pd/C in ethanol/THF or with cyclohexadiene and Pd/C in THF/EtOH.

合成路线图解说明:

The intermediate 2-[4-(chloromethyl)phenoxy]acetic acid ethyl ester (IV) has been obtained as follows: The reaction of 4-hydroxybenzyl alcohol (I) with ethyl 2-bromoacetate (II) by means of K2CO3 gives the phenoxyacetate (III), which is then treated with SOCl2 in THF to obtain the desired intermediate (IV). The cyclization of 4-(benzyloxy)aniline (V) with 2-bromo-1-[4-(benzyloxy)phenyl]-1-propanone (VI) by means of TEA in DMF gives 5-(benzyloxy)-2-[4-(benzyloxy)phenyl]-3-methyl-1H-indole (VII), which is alkylated with the intermediate (IV) by means of NaH in DMF to yield the adduct (VIII). The reduction of the ester group of (VIII) with LiAlH4 in THF affords the 2-hydroxyethoxy compound (IX), which is treated with CBr4 and PPh3 in THF to provide the 2-bromoethoxy compound (X). The reaction of (X) with piperidine in THF gives the piperidinoethoxy compound (XI), which is finally debenzylated by hydrogenation with H2 over Pd/C in ethanol/THF to afford the target indole derivative.

参考文献No.637843
标题:Bazedoxifene Acetate
作者:Harris, H.A.; Miller, C.P.; Komm, B.S.
来源:Drugs Fut 2002,27(2),117
合成路线图解说明:

The reaction of 4-hydroxybenzyl alcohol (V) with ethyl 2-bromoacetate (XI) by means of K2CO3 gives the phenoxyacetate (XII), which is then treated with SOCl2 in THF to obtain the benzyl chloride (XIII). Reaction of (XIII) with the indole derivative (VII) by means of NaH in DMF yields the adduct (XIV), whose ester group is reduced with LiAlH4 in THF to afford the 2-hydroxyethoxy compound (XV). Treatment of (XV) with CBr4 and PPh3 in THF provides the 2-bromoethoxy compound (XVI), which is converted into compound (XVIIII) by reaction with hexamethyleneimine (homopiperidine) (XVII) in THF. Finally, compound (XVIII) is debenzylated by hydrogenation with either H2 over Pd/C in ethanol/THF or with cyclohexadiene and Pd/C in THF/EtOH.

Drug Information Express,Drug R&D,Chemical Database,Patent Search.
Copyright © 2006-2026 Drug Future. All rights reserved.Contact Us