【药物名称】TAP-doxorubicin, Super-Leu-Dox, CPI-0004, CPI-004Na, CPI-0004Na
化学结构式(Chemical Structure):
参考文献No.48432
标题:Prodrug cpds. and process for preparation thereof
作者:Lobl, T.J.; Trouet, A.; Fernandez, A.-M.; Nieder, M.H.; Yarranton, G.T.; Gangwar, S.; Viski, P.; Lewis, E.; Dubois, V. (Beckman Coulter, Inc.)
来源:WO 0033888
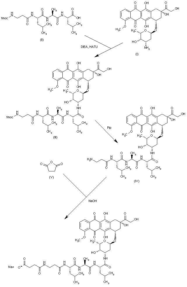
合成路线图解说明:

The condensation of doxorubicin (I) with Fmoc-beta-alanyl-L-leucyl-L-alanyl-L-leucine (II) by means of HATU and DIEA in DMF gives the protected adduct (III), which is treated with piperidine in DMF to yield the deprotected adduct (IV). Finally, this compound is condensed with succinic anhydride (V) in the same solvent and treated with NaOH or NaHCO3 to afford the target sodium salt.

参考文献No.637021
标题:N-Succinyl-(beta-alanyl-L-leucyl-L-alanyl-L-leucyl)doxorubicin: An extracellularly tumor-activated prodrug devoid of intravenous acute toxicity
作者:Fernandez, A.-M.; Van Derpoorten, K.; Dasnois, L.; Lebtahi, K.; Dubois, V.; Lobl, T.J.; Gangwar, S.; Oliyai, C.; Lewis, E.R.; Shochat, D.; Trouet, A.
来源:J Med Chem 2001,44(22),3750
合成路线图解说明:

The condensation of doxorubicin (I) with Fmoc-beta-alanyl-L-leucyl-L-alanyl-L-leucine (II) by means of HATU and DIEA in DMF gives the protected adduct (III), which is treated with piperidine in DMF to yield the deprotected adduct (IV). Finally, this compound is condensed with succinic anhydride (V) in the same solvent and treated with NaOH or NaHCO3 to afford the target sodium salt.

Drug Information Express,Drug R&D,Chemical Database,Patent Search.
Copyright © 2006-2026 Drug Future. All rights reserved.Contact Us