【药物名称】beta-Elemene, Elemene
化学结构式(Chemical Structure):
参考文献No.609638
标题:Stereoselective synthesis of (?-beta-elemene by a doubly diastereodifferentiating internal alkylation: A remarkable difference in the rate of enolization between syn and anti esters
作者:Lee, J.; Kim, S.; Kim, D.; Chang, J.
来源:Tetrahedron 2001,57(7),1247
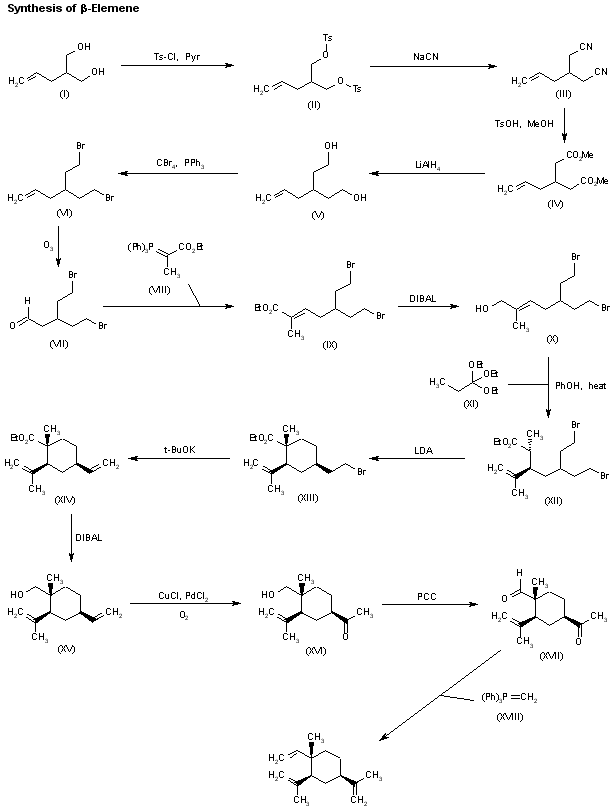
合成路线图解说明:

A stereoselective synthesis of beta-elemene has been reported: Reaction of 2-allylpropane-1,3-diol (I) with tosyl chloride and pyridine gives the ditosylate (II), which is treated with NaCN in refluxing DMF to yield the dinitrile (III). The methanolysis of (III) with TsOH and refluxing methanol affords the dicarboxylic acid (IV), which is reduced with LiAlH4 in THF providing 3-allyl-1,5-pentanediol (V). The reaction of (V) with CBr4 and PPh3 in dichloromethane gives the dibromide (VI), which is ozonolyzed with ozone and PPh3 in dichloromethane to yield the aldehyde (VII). Condensation of (VII) with the phosphorane (VIII) in dichloromethane affords the unsaturated ester (IX), which is reduced with DIBAL in toluene to afford alcohol (X). Condensation of (X) with triethyl orthopropionate (XI) in refluxing phenol/toluene gives the anti-dibromoester (XII), along with some syn-isomer that is easily separated. Cyclization of (XII) with LDA in THF yields the cyclohexanecarboxylate (XIII), which is treated with t-BuOK in THF to afford the divinylcylohexanecarboxylate (XIV). Reduction of (XV) with DIBAL in toluene provides the carbinol (XV), which is treated with CuCl, PdCl2 and O2 in DMF/water giving the acetyl derivative (XVI). Oxidation of (XVI) with PCC and AcONa in dichloromethane gives keto-aldehyde (XVII), which is finally submitted to a double Wittig methylenation with methylenetriphenylphosphorane (XVIII) in THF.

Drug Information Express,Drug R&D,Chemical Database,Patent Search.
Copyright © 2006-2026 Drug Future. All rights reserved.Contact Us