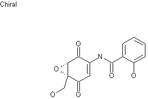
【药物名称】Epoxyquinomicin B
化学结构式(Chemical Structure):
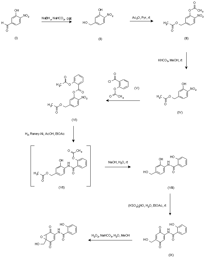
参考文献No.476279
标题:Synthesis of anti-rheumatic agent epoxyquinomicin B
作者:Matsumoto, N.; Iinuma, H.; Sawa, T.; Takeuchi, T.
来源:Bioorg Med Chem Lett 1998,8(21),2945
合成路线图解说明:

A synthesis of the racemic compound was later reported: 3-Hydroxy-4-nitrobenzaldehyde (I) was reduced to the benzyl alcohol (II) with NaBH4 and then converted to diacetate (III) with Ac2O in pyridine. Selective deacetylation of the aryl ester of (III) with KHCO3 in MeOH produced phenol (IV), which was then acylated with acetylsalicyloyl chloride (V) to yield (VI). The catalytic hydrogenation of the nitro group of (VI) in the presence of Raney-Ni was accompanied by migration of the salicyloyl unit to the amino group to yield salicylamide (VII) (accompanied by some byproduct resulting from the cleavage of the phenolic acetate). The resultant mixture of mono- and diacetate was converted to triol (VIII) by hydrolysis in aqueous NaOH. Then, the aminophenol ring of (VIII) was selectively oxidized with Fremy's salt to quinone (IX). Finally, the quinone was treated with H2O2 in the presence of NaHCO3 to furnish the racemic epoxide.

参考文献No.483508
标题:Epoxyquinomicins A, B, C and D, new antibiotics from Amycolatopsis. I. Taxonomy, fermentation, isolation and antimicrobial activities
作者:Matsumoto, N.; Tsuchida, T.; Umekita, M.; Kinoshita, N.; Iinuma, H.; Sawa, T.; Hamada, M.; Takeuchi, T.
来源:J Antibiot 1997,50(11),900
合成路线图解说明:

A synthesis of the racemic compound was later reported: 3-Hydroxy-4-nitrobenzaldehyde (I) was reduced to the benzyl alcohol (II) with NaBH4 and then converted to diacetate (III) with Ac2O in pyridine. Selective deacetylation of the aryl ester of (III) with KHCO3 in MeOH produced phenol (IV), which was then acylated with acetylsalicyloyl chloride (V) to yield (VI). The catalytic hydrogenation of the nitro group of (VI) in the presence of Raney-Ni was accompanied by migration of the salicyloyl unit to the amino group to yield salicylamide (VII) (accompanied by some byproduct resulting from the cleavage of the phenolic acetate). The resultant mixture of mono- and diacetate was converted to triol (VIII) by hydrolysis in aqueous NaOH. Then, the aminophenol ring of (VIII) was selectively oxidized with Fremy's salt to quinone (IX). Finally, the quinone was treated with H2O2 in the presence of NaHCO3 to furnish the racemic epoxide.

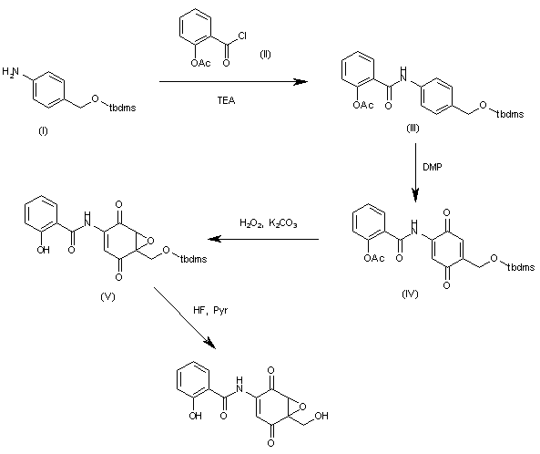
参考文献No.606615
标题:New synthetic technology for the construction of N-containing quinones and derivatives thereof: Total synthesis of epoxyquinomycin B
作者:Nicolaou, K.C.; et al.
来源:Angew Chem. Int Ed Engl 2001,40(1),207
合成路线图解说明:

The condensation of 4-(tert-butyldimethylsilyloxymethyl)aniline (I) with 2-(acetoxy)benzoyl chloride (II) by means of TEA in dichloromethane gives the corresponding amide (III), which is oxidized with DMP in dichloromethane to yield the benzoquinone (IV). The reaction of (IV) with H2O2 and K2CO3 affords the epoxide (V), which is finally desilylated with HF and pyridine in THF to provide the target compound.

Drug Information Express,Drug R&D,Chemical Database,Patent Search.
Copyright © 2006-2026 Drug Future. All rights reserved.Contact Us