【药物名称】YNS-15P
化学结构式(Chemical Structure):
参考文献No.34791
标题:Benzoquinolizine derivs. and medicinal compsns.
作者:Yamamoto, O.; Shirouchi, Y. (Nippon Shinyaku Co., Ltd.)
来源:EP 0897923; WO 9740046
合成路线图解说明:

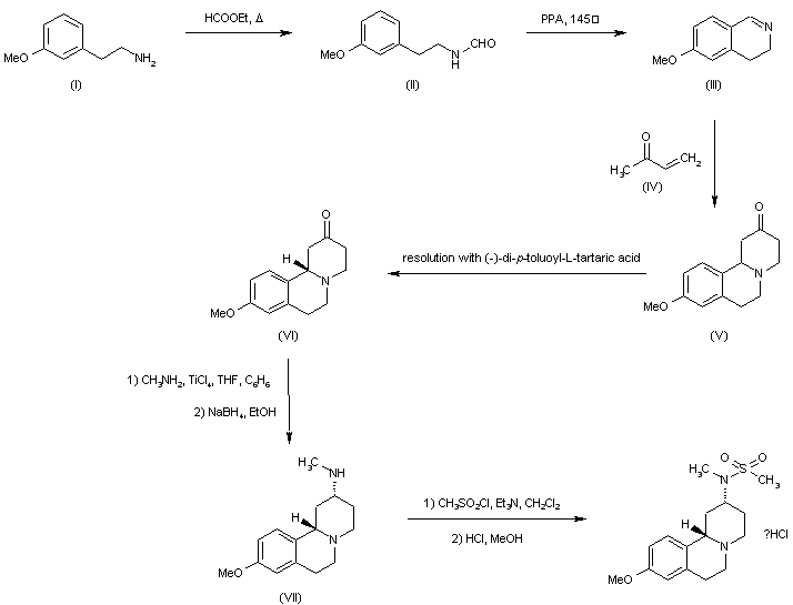
3-Methoxyphenethylamine (I) was converted into formamide (II) upon refluxing in ethyl formate. Subsequent cyclization of (II) in hot polyphosphoric acid produced the dihydroisoquinoline (III). This was subjected to a tandem Mannich-Michael condensations by refluxing in methyl vinyl ketone (IV) to yield the benzoquinolizinone system (V). The desired (S)-enantiomer (VI) was then isolated by crystallization of the diastereoisomeric salts with (-)-di-p-toluoyl-L-tartaric acid in EtOAc. Condensation of (VI) with methylamine in the presence of TiCl4, followed by reduction of the intermediate imine with NaBH4 provided amine (VII). This was finally converted to the target sulfonamide by treatment with methanesulfonyl chloride and Et3N.

Drug Information Express,Drug R&D,Chemical Database,Patent Search.
Copyright © 2006-2026 Drug Future. All rights reserved.Contact Us