【药物名称】Atazanavir sulfate, BMS-232632-05, CGP-73547, BMS-232632(free base), Reyataz
化学结构式(Chemical Structure):
参考文献No.34778
标题:Antivirally active heterocyclic azahexane derivs.
作者:F鋝sler, A.; Bold, G.; Capraro, H.-G.; Lang, M.; Khanna, S.C. (Novartis AG)
来源:EP 0900210; JP 1999511177; US 5849911; WO 9740029
合成路线图解说明:

1) The reaction of 4-bromobenzaldehyde (I) with trimethylorthoformate (II) and p-toluenesulfonic acid in methanol gives ketal (III), which is condensed with 2-pyridylmagnesium bromide in THF, yielding 4-(2-pyridyl)benzaldehyde (IV). The reaction of (IV) with tert-butyl carbazate (V) in refluxing ethanol affords hydrazone (VI), which is reduced with H2 over Pd/C in methanol to the hydrazine (VII). The condensation of (VII) with the epoxide (VIII) in hot isopropanol gives the expected addition product (IX), which by treatment with HCl or formic acid results in the fully deprotected intermediate (X). Finally, this compound is condensed with N-(methoxycarbonyl)-L-tert-leucine (XI) by means of O-(2-oxo-1,2-dihydro-1-pyridyl)-N,N,N',N'-tetramethyluronium tetrafluoroborate (TPTU) in dichloromethane or DMF.

合成路线图解说明:

Cycloaddition of sodium azide to 4-formylbenzonitrile (I) yielded tetrazole (II), which was protected with 2-phenylpropene (III) in the presence of methanesulfonic acid to give (IV). Subsequent condensation of (IV) with tert-butyl carbazate afforded hydrazone (V), which was further reduced to the benzylhydrazine (VI) employing NaBH3CN and p-toluenesulfonic acid. Opening of the trifluoroacetyl-protected epoxide (VII) with hydrazine (VI) gave hydrazinoalcohol (VIII). After hydrolysis of the trifluoroacetamide group of (VIII) with K2CO3, the resulting amine (IX) was coupled with N-methoxycarbonyl-L-tert-leucine (X) by means of EDC and HOBt to provide amide (XI).

合成路线图解说明:

Deprotection of the Boc group of XI) by treatment with HCl furnished hydrazine (XII), which was coupled with N-methoxycarbonyl-L-tert-leucine (X) to afford bisamide (XIII). The alpha,alpha-dimethyl benzyl protecting group of (XIII) was then removed with 80% H2SO4, and the deprotected tetrazole (XIV) was finally alkylated with CH3I to provide the title compound.

合成路线图解说明:

In a variation of this procedure, aryl tetrazole (II) was alkylated with ICH3 to provide methyltetrazole (XV). Condensation of (XV) with tert-butyl carbazate afforded hydrazone (XVI), which was reduced to the benzylhydrazine (XVII) by means of NaBH3CN and p-toluenesulfonic acid. Opening of the Boc-protected epoxide (XVIII) with hydrazine (XVII) gave hydrazinoalcohol (XIX). Acid deprotection of both Boc groups of (XIX) furnished diamino compound (XX), which was finally coupled with N-methoxycarbonyl-L-tert-leucine (X) by means of TPTU.

合成路线图解说明:

4-Bromobenzaldehyde dimethyl acetal (I) was converted to the corresponding Grignard reagent and then coupled with 2-bromothiazole (II) in the presence of [1,3-bis(diphenylphosphino)propane]nickel chloride to afford 4-(2-thiazolyl)benzaldehyde dimethylacetal (III). After acid hydrolysis of the acetal group of (II), the resulting aldehyde was condensed with tert-butyl carbazate to give hydrazone (IV), which was further reduced to the benzylhydrazine (V) employing NaBH3CN and p-toluenesulfonic acid. Opening of the Boc-protected epoxide (VI) with hydrazine (V) gave hydrazinoalcohol (VII). Both Boc groups of (VII) were removed by treatment with formic acid to yield diamino compound (VIII). Finally, coupling of (VIII) with N-methoxycarbonyl-L-tert-leucine (IX) by means of O-(1,2-dihydro-2-oxo-1-pyridyl)-N,N,N',N'-tetramethyluronium tetra fluoroborate (TPTU) provided the title bisamide.

参考文献No.38127
标题:Process for the preparation of hydrazine derivs. useful as intermediates for the preparation of peptide analogues
作者:F鋝sler, A.; Steiner, H.; Bold, G.; Capraro, H.-G. (Novartis AG)
来源:WO 9746514
合成路线图解说明:

Condensation of N-Boc-L-phenylalaninal (I) with 4-biphenylcarbonyl chloride (II) and KCN in the presence of N-benzylcinchoninium chloride (NBC) afforded alpha-acyloxynitrile (III) as a 4:1 mixture of (2R,3S) and (2S,3S) isomers. Hydrogenation of (III) in the presence of Raney Nickel and tert-butyl carbazate, followed by crystallization of the major isomer from acetonitrile provided hydrazone (IV). Subsequent reduction of (IV) to hydrazine using NaBH3CN and p-toluenesulfonic acid, with concomitant rearrangement of the biphenylcarbonyl group furnished hydrazide (V), which was reduced to the benzyl hydrazine (VI) by means of either BH3 or DIBAL-H. Deprotection of both Boc groups of (VI) with HCl gave diamino compound (VII). Finally, coupling of N-methoxycarbonyl-L-tert-leucine (IX), (prepared by reaction of tert-leucine (VIII) with methyl chloroformate), with diamine (VII) employing O-(1,2-dihydro-2-oxo-1-pyridyl)-N,N,N',N'-tetramethyluronium tetra-fluoroborate (TPTU) provided the target bisamide.

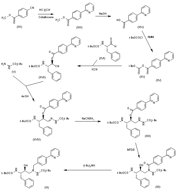
合成路线图解说明:

2) Intermediate (IX) can also be obtained as follows: The cyclization of 4-cyanobenzoic acid methyl ester (XII) with acetylene at 15 Atm by means of cobaltocene in toluene at 180 C gives 4-(2-pyridyl)benzoic acid methyl ester (XIII), which is saponified with NaOH in methanol to the corresponding acid (XIV). The activation of (XIV) with isobutyl chloroformate yields the mixed anhydride (XV), which is condensed with N-(tert-butoxycarbonyl)-L-phenylalaninal (XVI) and KCN in dichloromethane, affording (XVII). The reaction of (XVII) with tert-butyl carbazate (V) by means of acetic acid in methanol gives hydrazone (XVIII), which is reduced to hydrazine (XIX) by means of sodium cyanoborohydride in THF. The isomerization of (XIX) by means of 7-methyl-1,5,7-triazabicyclo[4.4.0]dec-5-ene (MTDE) in hot diglyme yields hydrazide (XX), which is finally reduced to intermediate (IX) with diisobutylaluminum hydride in dichloromethane/THF.

参考文献No.479535
标题:New aza-dipeptide analogues as potent and orally a
作者:Bold, G.; F鋝sler, A.; Capraro, H.-G.; Cozens, R.; Klimkait, T.; Lazdins, J.; Mestan, J.; Poncioni, B.; Rosel, J.; Stover, D.; Tintelnot-Blomley, M.; Acemoglu, F.; Beck, W.; Boss, E.; Eschbach, M.; Hurlimann, T.; Masso, E.; Roussel, S.; et al.
来源:J Med Chem 1998,41(18),3387
合成路线图解说明:

In an alternative procedure, condensation of 4-biphenylcarbaldehyde (X) with tert-butyl carbazate afforded hydrazone (XI), which was reduced to the benzylhydrazine (XII) by hydrogenation over Pd/C. Opening of the Boc-protected epoxide (XIII) with hydrazine (XII) gave hydrazinoalcohol (VI). This was deprotected with HCl and then coupled as above with N-methoxycarbonyl-L-tert-leucine (X) by means of TPTU.

合成路线图解说明:

1) The reaction of 4-bromobenzaldehyde (I) with trimethylorthoformate (II) and p-toluenesulfonic acid in methanol gives ketal (III), which is condensed with 2-pyridylmagnesium bromide in THF, yielding 4-(2-pyridyl)benzaldehyde (IV). The reaction of (IV) with tert-butyl carbazate (V) in refluxing ethanol affords hydrazone (VI), which is reduced with H2 over Pd/C in methanol to the hydrazine (VII). The condensation of (VII) with the epoxide (VIII) in hot isopropanol gives the expected addition product (IX), which by treatment with HCl or formic acid results in the fully deprotected intermediate (X). Finally, this compound is condensed with N-(methoxycarbonyl)-L-tert-leucine (XI) by means of O-(2-oxo-1,2-dihydro-1-pyridyl)-N,N,N',N'-tetramethyluronium tetrafluoroborate (TPTU) in dichloromethane or DMF.

合成路线图解说明:

In a variation of this procedure, aryl tetrazole (II) was alkylated with ICH3 to provide methyltetrazole (XV). Condensation of (XV) with tert-butyl carbazate afforded hydrazone (XVI), which was reduced to the benzylhydrazine (XVII) by means of NaBH3CN and p-toluenesulfonic acid. Opening of the Boc-protected epoxide (XVIII) with hydrazine (XVII) gave hydrazinoalcohol (XIX). Acid deprotection of both Boc groups of (XIX) furnished diamino compound (XX), which was finally coupled with N-methoxycarbonyl-L-tert-leucine (X) by means of TPTU.

合成路线图解说明:

4-Bromobenzaldehyde dimethyl acetal (I) was converted to the corresponding Grignard reagent and then coupled with 2-bromothiazole (II) in the presence of [1,3-bis(diphenylphosphino)propane]nickel chloride to afford 4-(2-thiazolyl)benzaldehyde dimethylacetal (III). After acid hydrolysis of the acetal group of (II), the resulting aldehyde was condensed with tert-butyl carbazate to give hydrazone (IV), which was further reduced to the benzylhydrazine (V) employing NaBH3CN and p-toluenesulfonic acid. Opening of the Boc-protected epoxide (VI) with hydrazine (V) gave hydrazinoalcohol (VII). Both Boc groups of (VII) were removed by treatment with formic acid to yield diamino compound (VIII). Finally, coupling of (VIII) with N-methoxycarbonyl-L-tert-leucine (IX) by means of O-(1,2-dihydro-2-oxo-1-pyridyl)-N,N,N',N'-tetramethyluronium tetra fluoroborate (TPTU) provided the title bisamide.

参考文献No.671952
标题:Process research and development for an efficient synthesis of the HIV protease inhibitor BMS-232632
作者:Xu, Z.; Singh, J.; Schwinden, M.D.; Zheng, B.; Kissick, T.P.; Patel, B.; Humora, M.J.; Quiroz, F.; Dong, L.; Hsieh, D.-M.; Heikes, J.E.; Pudipeddi, M.; Lindrud, M.D.; Srivastava, S.K.; Kronenthal, D.R.; Mueller, R.H.
来源:Org. Proc. Res. & Develop. 2002,6(3),323
合成路线图解说明:

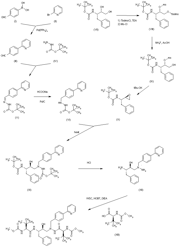
The intermediate carbazate (VI) has been obtained as follows. The condensation of phenylboronic acid (I) with 2-bromopyridine (II) by means of Pd(PPh3)4 gives 4-(2-pyridyl)benzaldehyde (III), which is condensed with tert-butyl carbazate (IV) in hot toluene/isopropyl alcohol to yield the benzylidenehydrazone (V). Finally, this compound is reduced with sodium formate over Pd/C in ethanol to afford the target intermediate; the carbazate (VI). The selective monosilylation of the primary OH group of diol (VII) with Tbdms-Cl, TEA and DMAP followed by reaction of the secondary OH group with MsCl gives the protected mesylate (VIII), which is desilylated with NH4F and AcOH yielding the primary alcohol (IX). The epoxidation of (IX) with t-BuOK in isopropyl alcohol affords the chiral epoxide (X), which is condensed with the intermediate carbazate (VI) in refluxing isopropanol to provide the adduct (XI). Elimination of the two Boc protecting groups of (XI) with HCl in hot THF gives the diamino compound (XII), which is finally condensed with two moles of N-(methoxycarbonyl)-L-tert-leucine (XIII) by means of WSC, HOBt and DIEA in dichloromethane to provide the target Atazanavir.

Drug Information Express,Drug R&D,Chemical Database,Patent Search.
Copyright © 2006-2026 Drug Future. All rights reserved.Contact Us