【药物名称】L-375378
化学结构式(Chemical Structure):
参考文献No.478922
标题:Efficacious, orally bioavailable thrombin inhibitors based on 3-aminopyridinone or 3-aminopyrazinone acetamide peptidomimetic templates
作者:Sanderson, P.E.J.; Lyle, T.A.; Cutrona, K.J.; Dyer, D.L.; Dorsey, B.D.; McDonough, C.M.; Naylor-Olsen, A.M.; Chen, I.W.; Chen, Z.; Cook, J.J.; Cooper, C.M.; Gardell, S.J.; Hare, T.R.; Krueger, J.A.; Lewis, S.D.; Lin, J.H.; Lucas, B.J. Jr.; et al.
来源:J Med Chem 1998,41(23),4466
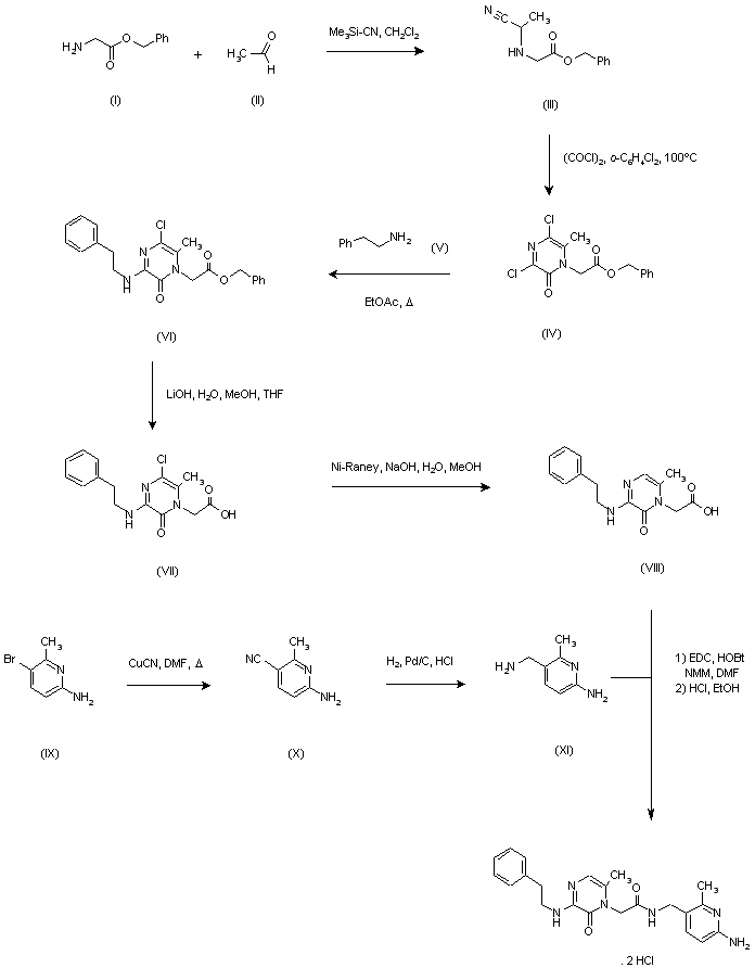
合成路线图解说明:

Condensation of glycine benzyl ester (I) and acetaldehyde (II) in the presence of trimethylsilyl cyanide produced the aminonitrile (III), which was isolated as the hydrochloride salt. Further reaction of (III) with oxalyl chloride in o-dichlorobenzene at 100 C afforded the pyrazinone (IV). Subsequent, displacement of the 3-chloro group of (IV) by phenethylamine (V) in refluxing EtOAc gave the aminopyrazinone (VI). The benzyl ester group of (VI) was then hydrolyzed with LiOH in a mixture of H2O/MeOH/THF to yield acid (VII). Dechlorination of (VIII) by Raney-Ni alloy in the presence of NaOH provided pyrazinone (VIII). Reaction of 6-amino-3-bromo-2-methylpyridine (IX) with CuCN in boiling DMF gave nitrile (X), which was reduced to the primary amine (XI) by catalytic hydrogenation over Pd/C. Finally, acid (VIII) was coupled with amine (XI) using EDC and HOBt to furnish the corresponding amide, which was converted to the dihydrochloride salt.

Drug Information Express,Drug R&D,Chemical Database,Patent Search.
Copyright © 2006-2026 Drug Future. All rights reserved.Contact Us