【药物名称】Terprenin
化学结构式(Chemical Structure):
参考文献No.472638
标题:Total synthesis of terprenin, a novel immunosuppressive p-terphenyl derivative
作者:Yonezawa, S.; Komurasaki, T.; Kawada, K.; Tsuri, T.; Fuji, M.; Kugimiya, A.; Haga, N.; Mitsumori, S.; Inagaki, M.; Nakatani, T.; Tamura, Y.; Takechi, S.; Taishi, T.; Ohtani, M.
来源:J Org Chem 1998,63(17),5831
合成路线图解说明:

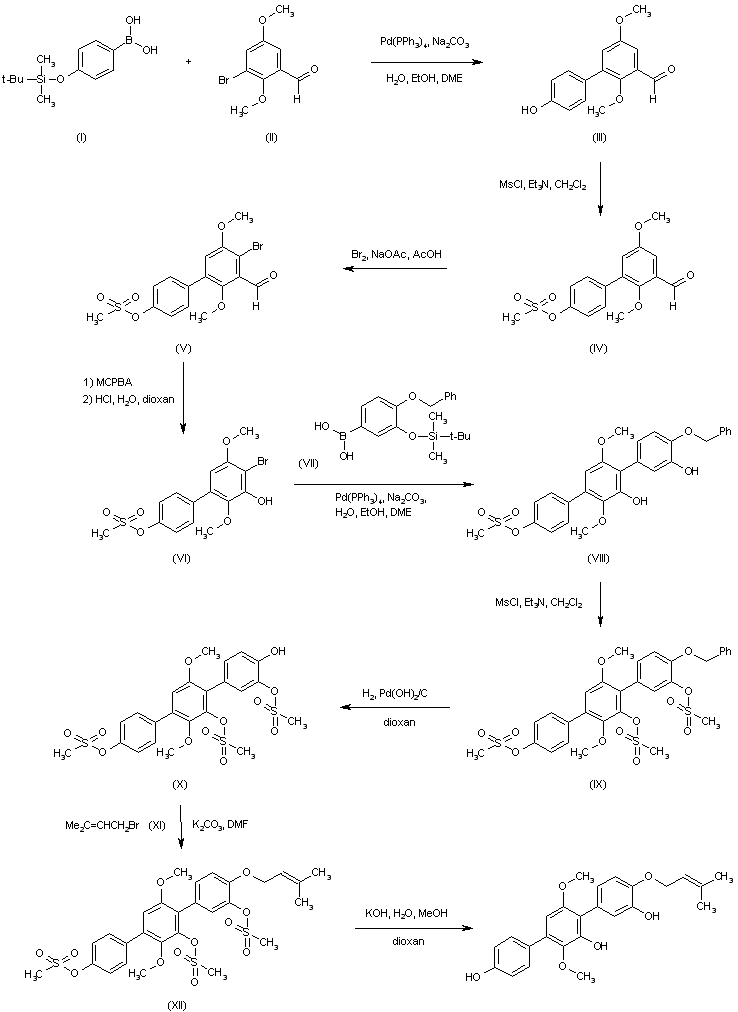
1. The Suzuki coupling of arylboronic acid (I) with 3-bromo-2,5-dimethoxybenzaldehyde (II) with concomitant desilylation provided biphenyl aldehyde (III). After protection of the phenolic hydroxyl as the mesylate (IV), selective bromination of (IV) in the presence of NaOAc in AcOH provided bromoaldehyde (V). A Baeyer-Villiger oxidation of the aldehyde group of (V) with m-chloroperbenzoic acid, followed by acid hydrolysis of the intermediate formate ester, produced phenol (VI). which was coupled with protected boronic acid (VII) in the presence of Pd(PPh3)4 to yield terphenyl (VIII). Mesylation of the hydroxyl groups of (VIII) and further hydrogenolytic cleavage of the benzyl ether gave phenol (X). Then, alkylationof (X) with prenyl bromide (XI) provided prenyl ether (XII). The mesylate groups of (XII) were finally removed by hydrolysis with KOH to furnish the title compound.

合成路线图解说明:

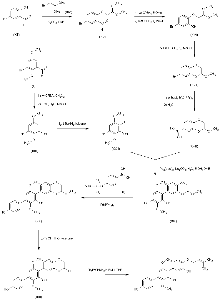
2. In an alternative synthesis, 5-bromosalicylaldehyde (XIII) was alkylated with bromoacetaldehyde dimethyl acetal (XIV) to afford ether (XV). Further Baeyer-Villiger reaction with (XV) produced phenol (XVI), which was cyclized to the benzodioxine (XVII) with p-TsOH. Lithiation of (XVII), followed by reaction with triisopropyl borate and hydrolytic work-up, gave boronic acid (XVIII). Aldehyde (II) was treated with MCPBA yielding phenol (XIII), which was iodinated in the presence of tert-butylamine to give the bromo iodo derivative (XIV). Sequential Suzuki coupling of bromo iodo compound (XIV) with boronic acid (XVIII) yielding (XIX), and then with boronic acid (I) provided terphenyl (XX). Hydrolysis of the methyl acetal of (XX) using p-TsOH gave cyclic hemiacetal (XXI). Finally, Wittig reaction of (XXI) with the phosphorane prepared from isopropyl triphenylphosphonium iodide and n-BuLi provided the title compound.

参考文献No.523662
标题:Terprenins, novel immunosuppressants produced by Aspergillus candidus
作者:Kamigauchi, T.; Sakazaki, R.; Nagashima, K.; Kawamura, Y.; Yasuda, Y.; Matsushima, K.; Tani, H.; Takahashi, Y.; Ishii, K.; Suzuki, R.; Koizumi, K.; Nakai, H.; Ikenishi, Y.; Terui, Y.
来源:J Antibiot 1998,51(4),445
合成路线图解说明:

1. The Suzuki coupling of arylboronic acid (I) with 3-bromo-2,5-dimethoxybenzaldehyde (II) with concomitant desilylation provided biphenyl aldehyde (III). After protection of the phenolic hydroxyl as the mesylate (IV), selective bromination of (IV) in the presence of NaOAc in AcOH provided bromoaldehyde (V). A Baeyer-Villiger oxidation of the aldehyde group of (V) with m-chloroperbenzoic acid, followed by acid hydrolysis of the intermediate formate ester, produced phenol (VI). which was coupled with protected boronic acid (VII) in the presence of Pd(PPh3)4 to yield terphenyl (VIII). Mesylation of the hydroxyl groups of (VIII) and further hydrogenolytic cleavage of the benzyl ether gave phenol (X). Then, alkylationof (X) with prenyl bromide (XI) provided prenyl ether (XII). The mesylate groups of (XII) were finally removed by hydrolysis with KOH to furnish the title compound.

合成路线图解说明:

2. In an alternative synthesis, 5-bromosalicylaldehyde (XIII) was alkylated with bromoacetaldehyde dimethyl acetal (XIV) to afford ether (XV). Further Baeyer-Villiger reaction with (XV) produced phenol (XVI), which was cyclized to the benzodioxine (XVII) with p-TsOH. Lithiation of (XVII), followed by reaction with triisopropyl borate and hydrolytic work-up, gave boronic acid (XVIII). Aldehyde (II) was treated with MCPBA yielding phenol (XIII), which was iodinated in the presence of tert-butylamine to give the bromo iodo derivative (XIV). Sequential Suzuki coupling of bromo iodo compound (XIV) with boronic acid (XVIII) yielding (XIX), and then with boronic acid (I) provided terphenyl (XX). Hydrolysis of the methyl acetal of (XX) using p-TsOH gave cyclic hemiacetal (XXI). Finally, Wittig reaction of (XXI) with the phosphorane prepared from isopropyl triphenylphosphonium iodide and n-BuLi provided the title compound.

Drug Information Express,Drug R&D,Chemical Database,Patent Search.
Copyright © 2006-2026 Drug Future. All rights reserved.Contact Us