【药物名称】ER-35794
化学结构式(Chemical Structure):
参考文献No.486502
标题:Syntheses and structure-activity relationships of novel retinoid X receptor agonists
作者:Hibi, S.; Kikuchi, K.; Yoshimura, H.; Nagai, M.; Tai, K.; Hida, T.
来源:J Med Chem 1998,41(17),3245
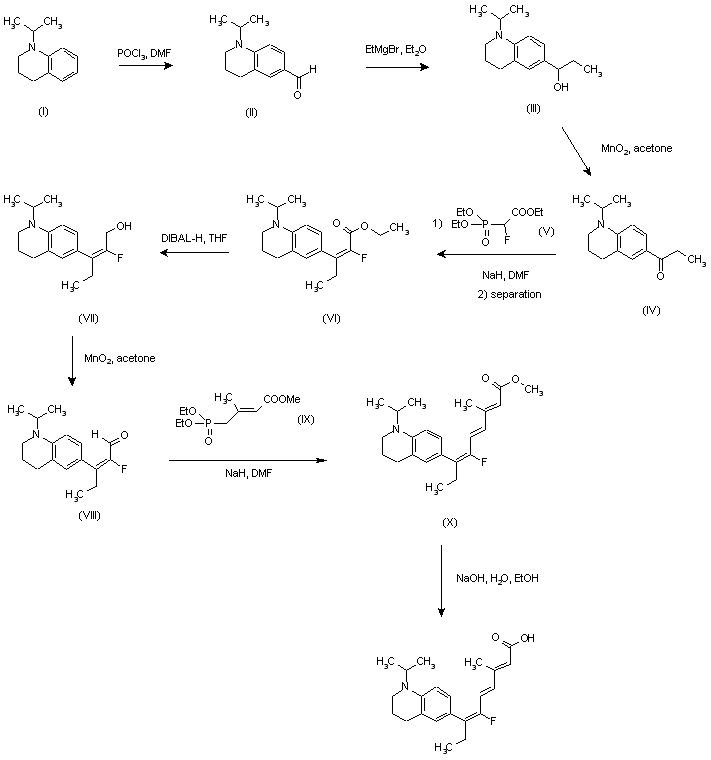
合成路线图解说明:

Formylation of tetrahydroquinoline (I) with N,N-dimethylformamide and POCl3 afforded aldehyde (II), which was condensed with ethylmagnesium bromide to give alcohol (III), and then oxidized to ketone (IV) with activated MnO2 in acetone. Coupling with triethyl 2-fluoro-2-phosphonoacetate (V) in the presence of NaH in DMF produced a mixture of olefins, from which the desired E isomer (VI) was separated by column chromatography. Ester reduction with DIBAL-H at -70 C provided the E-alcohol (VII), which was oxidized to aldehyde (VIII) with MnO2 in acetone. Horner-Emmons condensation with phosphonate (IX) afforded heptatrienoic ester (X), which was finally hydrolyzed with NaOH to the target heptatrienoic acid.

Drug Information Express,Drug R&D,Chemical Database,Patent Search.
Copyright © 2006-2026 Drug Future. All rights reserved.Contact Us