【药物名称】FR-186054
化学结构式(Chemical Structure):
参考文献No.468663
标题:Inhibitors of acyl-CoA:cholesterol O-acyltransferase. 2. Identification and structure-activity relationships of a novel series of N-alkyl-N-(heteroaryl-substituted benzyl)-N'-arylureas
作者:Tanaka, A.; Terasawa, T..; Hagihara, H.; Sakuma, Y.; Ishibe, N.; Sawada, M.; Takasugi, H.; Tanaka, H.
来源:J Med Chem 1998,41(12),2390-2410
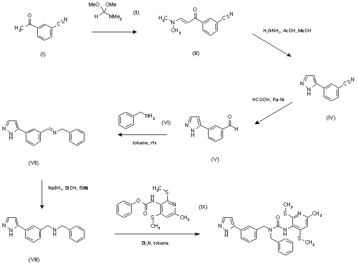
合成路线图解说明:

Condensation of 3-acetylbenzonitrile (I) with N,N-dimethylformamide dimethylacetal (II) at 90 C provided enaminoketone (III). Reaction of (III) with hydrazine acetate in methanol generated pyrazole (IV), and then, reduction of nitrile group with Raney Nickel in aqueous formic acid gave aldehyde (V). Condensation of this aldehyde with benzylamine (VI) in refluxing toluene, followed by reduction of the intermediate imine (VII) with ethanolic NaBH4 yielded secondary amine (VIII). Finally, the target urea was obtained by condensation of amine (VIII) with phenyl N-[2,4-bis(methylthio)-6-methylpyridin-3-yl]carbamate in the presence of triethylamine.

Drug Information Express,Drug R&D,Chemical Database,Patent Search.
Copyright © 2006-2026 Drug Future. All rights reserved.Contact Us