【药物名称】YM-44778(fumarate salt (1:1))
化学结构式(Chemical Structure):
参考文献No.476999
标题:Spiro-substituted piperidines as neurokinin receptor antagonists. III. Synthesis of (?-N-[2-(3,4-dichlorophenyl)-4-(spiro-substituted piperidin-1'-yl)butyl]-N-methylbenzamides and evaluation of NK1-NK2 dual antagonistic activities
作者:Kubota, H.; Kakefuda, A.; Okamoto, Y.; Fujii, M.; Yamamoto, O.; Yamagiwa, Y.; Orita, M.; Ikeda, K.; Takeuchi, M.; Shibanuma, T.; Isomura, Y.
来源:Chem Pharm Bull 1998,46(10),1538
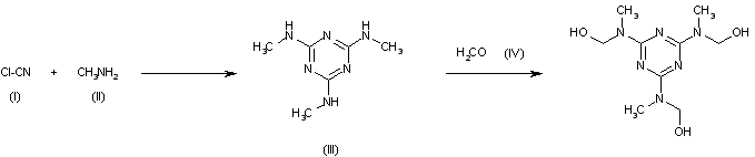
合成路线图解说明:

The cyclization of cyanogen chloride (I) with aqueus methylamine (II) at 150 C in a pressure vessel gives N2,N4,N6-trimethylmelamine (III), which is then treated with aqueous formaldehyde at pH 8.9.

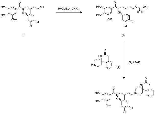
合成路线图解说明:

Treatment of alcohol (I) with methanesulfonyl chloride in the presence of triethylamine provided mesylate (II), which was condensed with the spirosubstituted piperidine (III) to give the desired compound.

Drug Information Express,Drug R&D,Chemical Database,Patent Search.
Copyright © 2006-2026 Drug Future. All rights reserved.Contact Us