【药物名称】Org-35030, Ro-60-0175
化学结构式(Chemical Structure):
参考文献No.26995
标题:1-Aminoethylindoles
作者:B鰏, M. (F. Hoffmann-La Roche AG)
来源:CA 2132883; EP 0655440; US 5494928
合成路线图解说明:

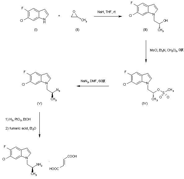
Condensation of 6-chloro-5-fluoroindole (I) with (R)-2-methyloxyran (II) in the presence of NaH produced the chiral indolylpropanol (III). After conversion of (III) to the corresponding mesylate (IV) with methanesulfonyl chloride and triethylamine, displacement by NaN3 with inversion of the configuration afforded the (S)-azide (V). Subsequent hydrogenation of (V) using PtO2 yielded the title amine, which was isolated as the fumarate salt.

Drug Information Express,Drug R&D,Chemical Database,Patent Search.
Copyright © 2006-2026 Drug Future. All rights reserved.Contact Us