【药物名称】DBO-83
化学结构式(Chemical Structure):
参考文献No.477998
标题:Mono- and disubstituted-3,8-diazabicyclo[3.2.1]octane derivatives as analgesics structurally related to epibatidine: Synthesis, activity, and modeling
作者:Barlocco, D.; Cignarella, G.; Tondi, D.; Vianello, P.; Villa, S.; Bartolini, A.; Ghelardini, C.; Galeotti, N.; Anderson, D.J.; Kuntzweiler, T.A.; Colombo, D.; Toma, L.
来源:J Med Chem 1998,41(5),674
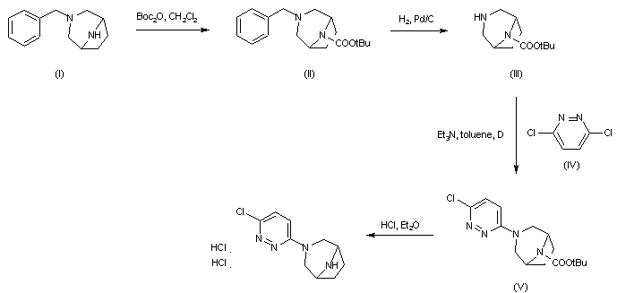
合成路线图解说明:

3-Benzyl-3,8-diazabicyclo[3.2.1]octane (I) was protected at the N8 position with di tert-butyl dicarbonate in CH2Cl2, and carbamate (II) was then debenzylated by catalytic hydrogenolysis over Pd/C. The resulting bicyclic amine (III) was condensed with 3,6-dichloropyridazine (IV) in the presence of Et3N to give the Boc-protected intermediate (V), which was finally deprotected with HCl in Et2O.

Drug Information Express,Drug R&D,Chemical Database,Patent Search.
Copyright © 2006-2026 Drug Future. All rights reserved.Contact Us