【药物名称】N-5228
化学结构式(Chemical Structure):
参考文献No.34732
标题:Isoprene derivs.
作者:Inomata, K.; Takahashi, T.; Inoue, H.; Taniuchi, M.; Yamazaki, H.; Suzuki, M.; Takazawa, T.; Kawamura, K.; Oshida, N.; Ikemoto, H.; Kishie, T. (Nisshin Seifun Group Inc.)
来源:EP 0787716; JP 1997268162
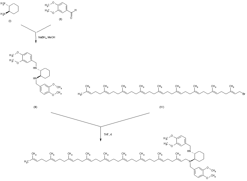
合成路线图解说明:

Reductive alkylation of trans-1,2-cyclohexanediamine (I) with veratraldehyde (II) in the presence of NaBH4 afforded the corresponding bis-(benzylamino)cyclohexane derivative (III). This was then alkylated with solanesyl bromide (IV) in THF to furnish the title compound

Drug Information Express,Drug R&D,Chemical Database,Patent Search.
Copyright © 2006-2026 Drug Future. All rights reserved.Contact Us