【药物名称】NNC-21-0136
化学结构式(Chemical Structure):
参考文献No.548623
标题:N-substituted adenosines as novel neuroprotective A1 agonists with diminished hypotensive effects
作者:Knutsen, L.J.; Lau, J.; Petersen, H.; Thomsen, C.; Weis, J.U.; Shalmi, M.; Judge, M.E.; Hansen, A.J.; Sheardown, M.J.
来源:J Med Chem 1999,42(18),3463
合成路线图解说明:

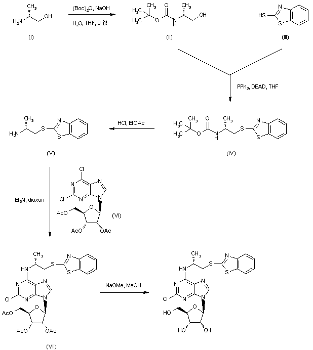
Protection of D-alaninol (I) with di-tert-butyl dicarbonate gave rise to carbamate (II). Subsequent Mitsunobu coupling of (II) with 2-mercaptobenzothiazole (III) furnished thioether (IV), which was deprotected with HCl in EtOAc. The resulting amine (V) was condensed with dichloropurine (VI) to afford the chloroadenosine derivative (VII). Finally, cleavage of the acetate esters of (VII) was achieved by treatment with NaOMe in MeOH.

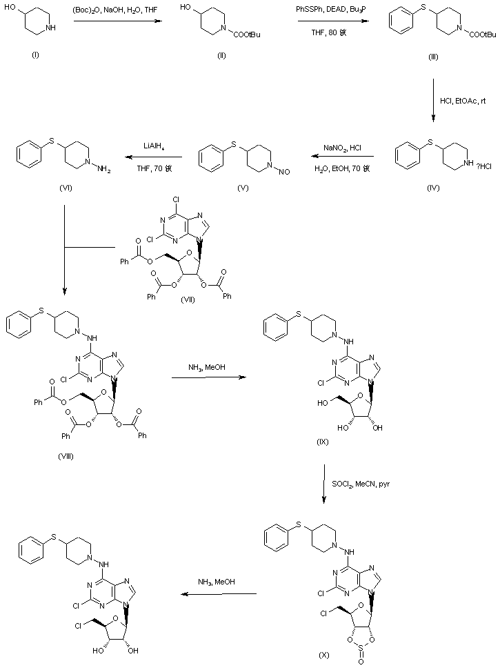
合成路线图解说明:

4-Hydroxypiperidine (I) was protected as the tert-butyl carbamate (II) upon treatment with (Boc)2O. Subsequent Mitsunobu coupling of (II) with diphenyl disulfide using tributylphosphine and diethyl azodicarboxylate afforded thioether (III). Acid deprotection of the Boc group of (III), followed by nitrosation of the resulting amine (IV) gave N-nitrosopiperidine (V). Further reduction of (V) with LiAlH4 yielded hydrazine (VI). Condensation of (VI) with dichloropurine derivative (VII) produced piperidinyladenosine (VIII). Debenzoylation of the tribenzoate ester (VIII) with methanolic ammonia gave (IX). Then, chlorination at position 5' with concomitant formation of the 2',3' cyclic sulfite (X) by reaction with thionyl chloride and pyridine was followed by sulfite hydrolysis with methanolic ammonia to yield the title compound.

Drug Information Express,Drug R&D,Chemical Database,Patent Search.
Copyright © 2006-2026 Drug Future. All rights reserved.Contact Us