【药物名称】Sarizotan, EMR-62225, EMD-128130
化学结构式(Chemical Structure):
参考文献No.29563
标题:Amino(thio)ether derivs. as CNS active agents
作者:B鰐tcher, H.; Devant, R.; Greiner, H.; Bartoszyk, G.; Berthelon, J.-J.; Noblet, M.; Zeiller, J.-J.; Brunet, M. (Merck Patent GmbH)
来源:CA 2160447; EP 0707007; EP 1123933; JP 1996225501; US 5767132
合成路线图解说明:

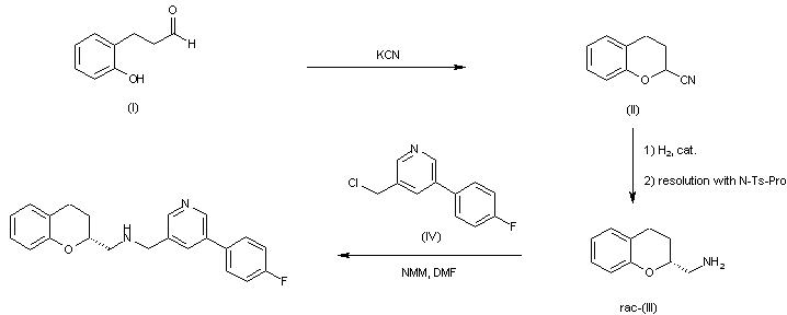
Addition of KCN to 3-(2-hydroxyphenyl)propanal (I) produced 2-cyanochromane (II), which was further reduced to the aminomethyl chromane rac-(III) by catalytic hydrogenation. Resolution of this racemic amine by recrystallization of the diastereomeric salts with N-tosyl-L-proline furnished the required (R)-enantiomer (III). Alkylation of amine (III) with 3-(chloromethyl)-5-(4-fluorophenyl)pyridine (IV) in the presence of N-methylmorpholine yielded the target secondary amine.

Drug Information Express,Drug R&D,Chemical Database,Patent Search.
Copyright © 2006-2026 Drug Future. All rights reserved.Contact Us