【药物名称】WAY-132983
化学结构式(Chemical Structure):
参考文献No.545772
标题:Discovery of a highly potent, functionally-selective muscarinic M1 agonist, WAY-132983 using rational drug design and receptor modelling
作者:Sabb, A.L.; Husbands, G.M.; Tokolics, J.; Stein, R.P.; Tasse, R.P.; Boast, C.A.; Moyer, J.A.; Abou-Gharbia, M.
来源:Bioorg Med Chem Lett 1999,9(14),1895
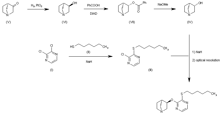
合成路线图解说明:

The reaction of 2,3-dichloropyrazine (I) with hexanethiol (II) by means of NaH in DMF/THF gives 2-chloro-3-(hexylsulfanyl)pyrazine (III), which is condensed with rac-exo-1-azabicyclo[2.2.1]heptan-3-ol (IV) by means of NaH in THF afforing the target compound as a racemic mixture that is submitted to optical resolution with tartaric acid. The intermediate -exo-1-azabicyclo[2.2.1]heptan-3-ol (IV) has been obtained as follows: The reduction of 1-azabicyclo[2.2.1]heptan-3-one (V) with H2 over PtO2in ethanol gives the corresponding endo-alcohol (VI), which is esterified under Mitsunobu conditions (PPh3, diisopropyl azodicarboxylate (DIAD) and benzoyl chloride) yielding the exo-benzoate (VII). The hydrolysis of (VII) with sodium methoxide in methanol affords the target exo-alcohol (IV).

Drug Information Express,Drug R&D,Chemical Database,Patent Search.
Copyright © 2006-2026 Drug Future. All rights reserved.Contact Us