【药物名称】Gacyclidine, GK-11
化学结构式(Chemical Structure):
参考文献No.19874
标题:Pharmaceutical compsns. for neuroprotection containing arylcyclohexylamines
作者:Kamenka, J.-M.; Privat, A.; Chicheportiche, R.; Rondouin, G. (CNRS (Centre National de la Recherche Scientifique))
来源:US 5179109; WO 9005524
合成路线图解说明:

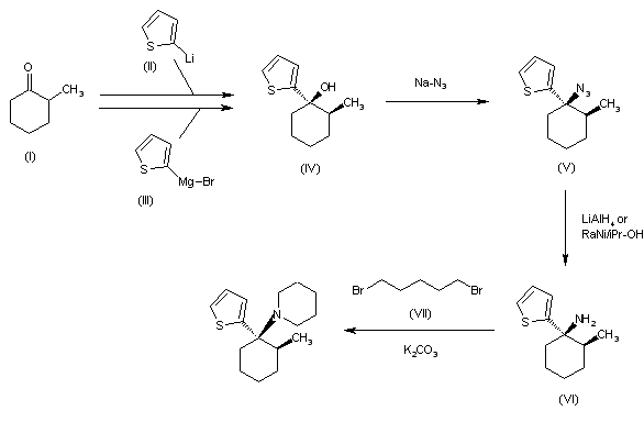
The condensation of 2-methylcyclohexanone (I) with 2-thienyl lithium (II) or 2-thienylmagnesium bromide (III) gives cyclohexanol (IV) as a diastereomeric mixture, which was treated with Na-N3 in trichloroacetic acid to yield the azide (V). The reduction of (V) with LiAlH4 or RaNi/iPr-OH affords the corresponding amine (VI), preferentially with the cis-configuration. Finally, this compound is condensed with 1,5-dibromopentane (VII) by means of K2CO3 in acetonitrile to provide the target compound as a diastereomeric mixture. The separation of the cis- and trans- racemates has been performed by HPLC. The optical resolution was performed by a cumbersome crystallization process using CSA and di-p-toluoyltartaric acid.

参考文献No.691261
标题:Homochiral structures derived from 1-[1-(2-thienyl)cyclohexyl]piperidine (TCP) are potent non-competitive antagonists of glutamate at NMDA receptor sites
作者:Michaud, M.; et al.
来源:Eur J Med Chem 1994,29(11),869
合成路线图解说明:

The condensation of 2-methylcyclohexanone (I) with 2-thienyl lithium (II) or 2-thienylmagnesium bromide (III) gives cyclohexanol (IV) as a diastereomeric mixture, which was treated with Na-N3 in trichloroacetic acid to yield the azide (V). The reduction of (V) with LiAlH4 or RaNi/iPr-OH affords the corresponding amine (VI), preferentially with the cis-configuration. Finally, this compound is condensed with 1,5-dibromopentane (VII) by means of K2CO3 in acetonitrile to provide the target compound as a diastereomeric mixture. The separation of the cis- and trans- racemates has been performed by HPLC. The optical resolution was performed by a cumbersome crystallization process using CSA and di-p-toluoyltartaric acid.

Drug Information Express,Drug R&D,Chemical Database,Patent Search.
Copyright © 2006-2026 Drug Future. All rights reserved.Contact Us