【药物名称】Brinzolamide, AL-4862, Azopt
化学结构式(Chemical Structure):
参考文献No.16078
标题:Thiophene sulfonamides useful as carbonic anhydrase inhibitors
作者:Dean, T.R.; Chen, H.-H.; May, J.A. (Alcon Laboratories, Inc.)
来源:EP 0527801; JP 1993508832; US 5153192; US 5240923; WO 9115486
合成路线图解说明:

1) The reaction of 3-(2,5,5-trimethyl-1,3-dioxan-2-yl)thiophene (I) with butyllithium, SO2 and hydroxylamine-O-sulfonic acid in hexane/THF gives the corresponding sulfonamide (II), which is hydrolyzed with HCl yielding 3-acetylthiophene-2-sulfonamide (III). The cyclization of (III) with pyridinium bromide perbromide (IV) and NaBH4 affords 4-hydroxy-3,4-dihydro-2H-thieno[3,2-e][1,2]thiazine 1,1-dioxide (V), which is treated with 1,3-dibromopropane (VI) and NaH in DMF giving the corresponding 3-bromopropyl derivative (VII). The protection of the hydroxy group of (VII) with ethyl vinyl ether (VIII) in p-toluenesulfonic acid yields the ethoxyethyl ether (IX), which by reaction with sodium methoxide in refluxing methanol affords the 3-methoxypropyl derivative (X). The sulfonation of (X) with butyllithium, SO2 and hydroxylamine-O-sulfonic acid in hexane/THF gives the sulfonamide (XI), which is oxidized with CrO3/H2SO4 to yield 2-(3-methoxypropyl)-4-oxo-3,4-dihydro-2H-thieno[3,2-e][1,2]thiazine-6-sulfonamide 1,1-dioxide (XII). The stereocontrolled reduction of (XII) with (+)-beta-chlorodiisopinocamphenylborane [(+)-CDPB] in THF affords the 4(S)-hydroxy derivative (XIII), which is finally treated first with p-toluenesulfonyl chloride/triethylamine and then with ethylamine in THF.

参考文献No.34941
标题:Sulfonamides useful as carbonic anhydrase inhibitors
作者:Dean, T.R.; Chen, H.-H.; May, J.A. (Alcon Laboratories, Inc.)
来源:US 5378703
合成路线图解说明:

1) The reaction of 3-(2,5,5-trimethyl-1,3-dioxan-2-yl)thiophene (I) with butyllithium, SO2 and hydroxylamine-O-sulfonic acid in hexane/THF gives the corresponding sulfonamide (II), which is hydrolyzed with HCl yielding 3-acetylthiophene-2-sulfonamide (III). The cyclization of (III) with pyridinium bromide perbromide (IV) and NaBH4 affords 4-hydroxy-3,4-dihydro-2H-thieno[3,2-e][1,2]thiazine 1,1-dioxide (V), which is treated with 1,3-dibromopropane (VI) and NaH in DMF giving the corresponding 3-bromopropyl derivative (VII). The protection of the hydroxy group of (VII) with ethyl vinyl ether (VIII) in p-toluenesulfonic acid yields the ethoxyethyl ether (IX), which by reaction with sodium methoxide in refluxing methanol affords the 3-methoxypropyl derivative (X). The sulfonation of (X) with butyllithium, SO2 and hydroxylamine-O-sulfonic acid in hexane/THF gives the sulfonamide (XI), which is oxidized with CrO3/H2SO4 to yield 2-(3-methoxypropyl)-4-oxo-3,4-dihydro-2H-thieno[3,2-e][1,2]thiazine-6-sulfonamide 1,1-dioxide (XII). The stereocontrolled reduction of (XII) with (+)-beta-chlorodiisopinocamphenylborane [(+)-CDPB] in THF affords the 4(S)-hydroxy derivative (XIII), which is finally treated first with p-toluenesulfonyl chloride/triethylamine and then with ethylamine in THF.

参考文献No.35229
标题:Preparation of carbonic anhydrase inhibitors
作者:Dean, W.D.; Zinke, P.W.; Sproull, S.J.; Deason, M.E.; Conrow, R.E.; Dantanarayana, A.P. (Alcon Laboratories, Inc.)
来源:CA 2114877
合成路线图解说明:

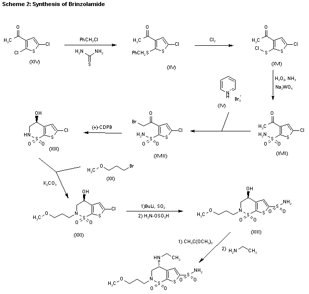
2) The reaction of 3-acetyl-2,5-dichlorothiophene (XIV) with benzyl chloride and thiourea in ethanol/water gives 3-acetyl-2-(benzylsulfanyl)-5-chlorothiophene (XV), which is treated with Cl2 gas in ethyl acetate yielding the expected sulfenyl chloride (XVI). The oxidation of (XVI) with H2O2/sodium tungstate and treatment with ammonia affords 3-acetyl-5-chlorothiophene-2-sulfonamide (XVII), which is brominated with pyridinium bromide perbromide (IV) giving the corresponding bromoacetyl derivative (XVIII). The reductive cyclization of (XVIII) with (+)-CDPB in THF affords the bicyclic 4(S)-hydroxy derivative (XIX), which is condensed with 3-methoxypropyl bromide (XX) by means of K2CO3 in DMSO giving 6-chloro-4(S)-hydroxy-2-(3-methoxypropyl)-3,4-dihydro-2H-thieno[3,2-e] [1,2]thiazine (XXI). The sulfonation of (XXI) with BuLi, SO2 and hydroxylamine-O-sulfonic acid as before yields the sulfonamide (XIII), already obtained, which is finally treated with trimethyl ortoacetate and ethylamine in refluxing acetonitrile.

参考文献No.453775
标题:Brinzolamide
作者:Graul, A.; Wroblewski, T.; Casta馿r, J.
来源:Drugs Fut 1998,23(4),365
合成路线图解说明:

1) The reaction of 3-(2,5,5-trimethyl-1,3-dioxan-2-yl)thiophene (I) with butyllithium, SO2 and hydroxylamine-O-sulfonic acid in hexane/THF gives the corresponding sulfonamide (II), which is hydrolyzed with HCl yielding 3-acetylthiophene-2-sulfonamide (III). The cyclization of (III) with pyridinium bromide perbromide (IV) and NaBH4 affords 4-hydroxy-3,4-dihydro-2H-thieno[3,2-e][1,2]thiazine 1,1-dioxide (V), which is treated with 1,3-dibromopropane (VI) and NaH in DMF giving the corresponding 3-bromopropyl derivative (VII). The protection of the hydroxy group of (VII) with ethyl vinyl ether (VIII) in p-toluenesulfonic acid yields the ethoxyethyl ether (IX), which by reaction with sodium methoxide in refluxing methanol affords the 3-methoxypropyl derivative (X). The sulfonation of (X) with butyllithium, SO2 and hydroxylamine-O-sulfonic acid in hexane/THF gives the sulfonamide (XI), which is oxidized with CrO3/H2SO4 to yield 2-(3-methoxypropyl)-4-oxo-3,4-dihydro-2H-thieno[3,2-e][1,2]thiazine-6-sulfonamide 1,1-dioxide (XII). The stereocontrolled reduction of (XII) with (+)-beta-chlorodiisopinocamphenylborane [(+)-CDPB] in THF affords the 4(S)-hydroxy derivative (XIII), which is finally treated first with p-toluenesulfonyl chloride/triethylamine and then with ethylamine in THF.

合成路线图解说明:

2) The reaction of 3-acetyl-2,5-dichlorothiophene (XIV) with benzyl chloride and thiourea in ethanol/water gives 3-acetyl-2-(benzylsulfanyl)-5-chlorothiophene (XV), which is treated with Cl2 gas in ethyl acetate yielding the expected sulfenyl chloride (XVI). The oxidation of (XVI) with H2O2/sodium tungstate and treatment with ammonia affords 3-acetyl-5-chlorothiophene-2-sulfonamide (XVII), which is brominated with pyridinium bromide perbromide (IV) giving the corresponding bromoacetyl derivative (XVIII). The reductive cyclization of (XVIII) with (+)-CDPB in THF affords the bicyclic 4(S)-hydroxy derivative (XIX), which is condensed with 3-methoxypropyl bromide (XX) by means of K2CO3 in DMSO giving 6-chloro-4(S)-hydroxy-2-(3-methoxypropyl)-3,4-dihydro-2H-thieno[3,2-e] [1,2]thiazine (XXI). The sulfonation of (XXI) with BuLi, SO2 and hydroxylamine-O-sulfonic acid as before yields the sulfonamide (XIII), already obtained, which is finally treated with trimethyl ortoacetate and ethylamine in refluxing acetonitrile.

参考文献No.563496
标题:Enantioselective synthesis of brinzolamide (AL-4862), a new topical carbonic anhydrase inhibitor. The "DCAT route" to thiophenesulfonamides
作者:Dean, W.D.; Deason, M.E.; Sproull, S.J.; Conrow, R.E.; DuPriest, M.T.; Zinke, P.W.; Dantanarayama, A.P.
来源:Org Process Res Dev 1999,3(2),114
合成路线图解说明:

2) The reaction of 3-acetyl-2,5-dichlorothiophene (XIV) with benzyl chloride and thiourea in ethanol/water gives 3-acetyl-2-(benzylsulfanyl)-5-chlorothiophene (XV), which is treated with Cl2 gas in ethyl acetate yielding the expected sulfenyl chloride (XVI). The oxidation of (XVI) with H2O2/sodium tungstate and treatment with ammonia affords 3-acetyl-5-chlorothiophene-2-sulfonamide (XVII), which is brominated with pyridinium bromide perbromide (IV) giving the corresponding bromoacetyl derivative (XVIII). The reductive cyclization of (XVIII) with (+)-CDPB in THF affords the bicyclic 4(S)-hydroxy derivative (XIX), which is condensed with 3-methoxypropyl bromide (XX) by means of K2CO3 in DMSO giving 6-chloro-4(S)-hydroxy-2-(3-methoxypropyl)-3,4-dihydro-2H-thieno[3,2-e] [1,2]thiazine (XXI). The sulfonation of (XXI) with BuLi, SO2 and hydroxylamine-O-sulfonic acid as before yields the sulfonamide (XIII), already obtained, which is finally treated with trimethyl ortoacetate and ethylamine in refluxing acetonitrile.

Drug Information Express,Drug R&D,Chemical Database,Patent Search.
Copyright © 2006-2026 Drug Future. All rights reserved.Contact Us