【药物名称】
化学结构式(Chemical Structure):
参考文献No.24603
标题:Ellipticine derivs. with antitumor activity
作者:Tsujihara, K.; Harada, N.; Ozaki, K.; Ohashi, M.; Oda, K. (Tanabe Seiyaku Co., Ltd.)
来源:EP 0608876; JP 1994279441; US 5605904
合成路线图解说明:

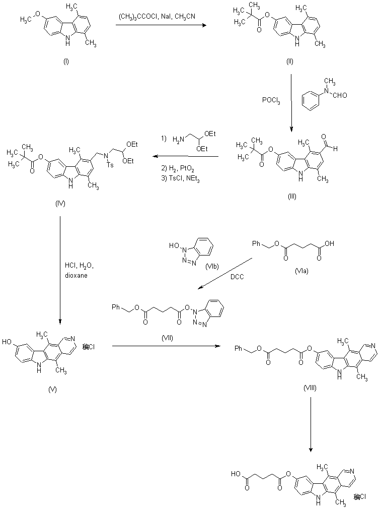
Treatment of 6-methoxy-1,4-dimethylcarbazole (I) with pivaloyl chloride and NaI in refluxing acetonitrile cleaved the methyl ether and afforded pivalate (II). The condensation of this with the Vilsmeier reagent from N-methylformanilide and phosphoryl chloride gave the formyl compound (III). Condensation of (III) with aminoacetaldehyde diethyl acetal in the presence of a catalytic amount of p-toluenesulfonic acid in refluxing toluene with azeotropic distillation of water, followed by hydrogenation of the intermediate imine in the presence of PtO2, afforded the corresponding amine, which was subsequently converted to the N-tosyl derivative (IV) on treatment with tosyl chloride and triethylamine. Refluxing (IV) with hydrogen chloride in aqueous dioxane effected cyclization, with simultaneous elimination of the tosyl and pivaloyl groups yielding the 9-hydroxyellipticine (V) (1). Glutaric acid monobenzyl ester (VIa) was converted to the active ester (VII) on treatment with 1-hydroxybenzotriazole (VIb) and dicyclohexyl carbodiimide, and this was condensed with (V) to afford diester (VIII). Finally, the benzyl ester was deprotected by hydrogenolysis in the presence of palladium-carbon and hydrogen.

参考文献No.434363
标题:Synthesis and antitumor activity of 9-acyloxyellipticines
作者:Harada, N.; Ozaki, K.; Oda, K.; Nakanishi, N.; Ohashi, M.; Hashiyama, T.; Tsujihara, K.
来源:Chem Pharm Bull 1997,45(7),1156
合成路线图解说明:

Treatment of 6-methoxy-1,4-dimethylcarbazole (I) with pivaloyl chloride and NaI in refluxing acetonitrile cleaved the methyl ether and afforded pivalate (II). The condensation of this with the Vilsmeier reagent from N-methylformanilide and phosphoryl chloride gave the formyl compound (III). Condensation of (III) with aminoacetaldehyde diethyl acetal in the presence of a catalytic amount of p-toluenesulfonic acid in refluxing toluene with azeotropic distillation of water, followed by hydrogenation of the intermediate imine in the presence of PtO2, afforded the corresponding amine, which was subsequently converted to the N-tosyl derivative (IV) on treatment with tosyl chloride and triethylamine. Refluxing (IV) with hydrogen chloride in aqueous dioxane effected cyclization, with simultaneous elimination of the tosyl and pivaloyl groups yielding the 9-hydroxyellipticine (V) (1). Glutaric acid monobenzyl ester (VIa) was converted to the active ester (VII) on treatment with 1-hydroxybenzotriazole (VIb) and dicyclohexyl carbodiimide, and this was condensed with (V) to afford diester (VIII). Finally, the benzyl ester was deprotected by hydrogenolysis in the presence of palladium-carbon and hydrogen.

Drug Information Express,Drug R&D,Chemical Database,Patent Search.
Copyright © 2006-2026 Drug Future. All rights reserved.Contact Us