【药物名称】SR-144190
化学结构式(Chemical Structure):
参考文献No.30724
标题:Substd. heterocyclic cpds., preparation method therefor and pharmaceutical compsns. containing same
作者:Emonds-Alt, X.; Grossriether, I.; Gueule, P.; Proietto, V.; Van Broeck, D. (Sanofi-Synth閘abo)
来源:EP 1156049; FR 2729952; FR 2729953; FR 2729954; JP 1999507324; JP 2001131171; US 5641777; WO 9623787
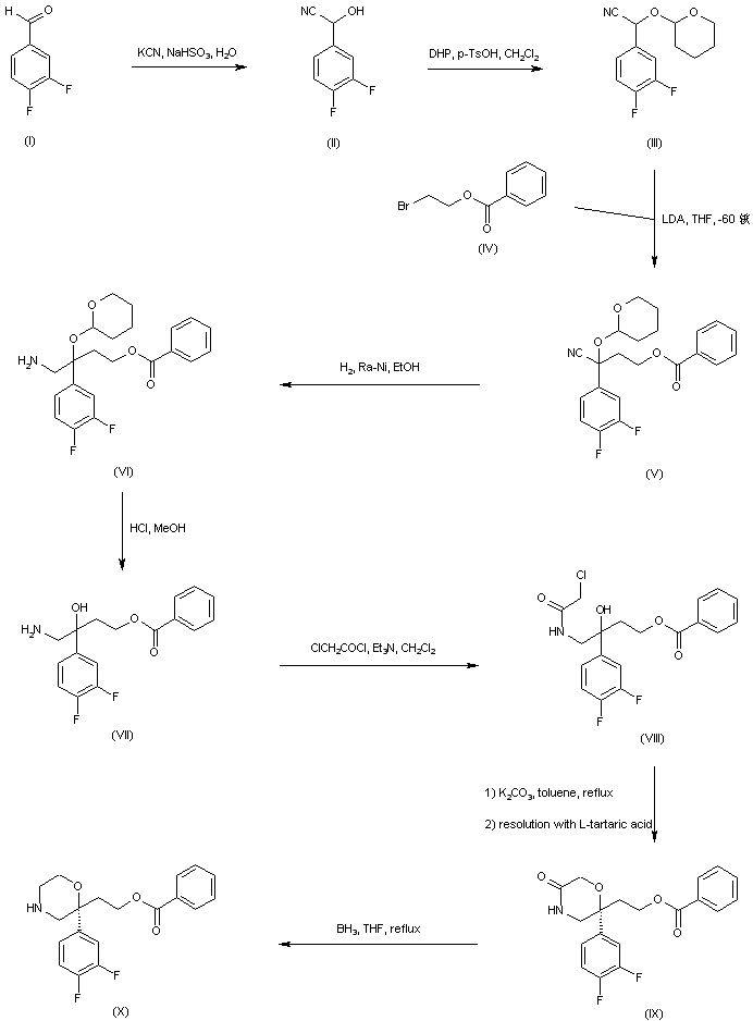
合成路线图解说明:

Cyanohydrin (II) was prepared by addition of KCN to 3,4-difluorobenzaldehyde (I) in the presence of sodium bisulfite. After protection of the hydroxyl group of (II) as the tetrahydropyranyl ether (III), alkylation with bromoethyl benzoate (IV) in the presence of LDA furnished adduct (V). Catalytic hydrogenation of the cyano group to give (VI), followed by tetrahydropyranyl group cleavage under acidic conditions, afforded amino alcohol (VII). Subsequent acylation of (VII) with chloroacetyl chloride produced the chloroacetamide (VIII). Intramolecular cyclization of (VIII) upon treatment with K2CO3 in boiling toluene yielded a racemic morpholinone that was resolved into the enantiomers by using L-tartaric acid. The desired (R)-morpholinone (IX) was then reduced to the corresponding morpholine (X) employing borane in THF.

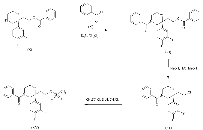
合成路线图解说明:

Benzamide (XII) was prepared by acylation of morpholine (X) with benzoyl chloride (XI). The benzoate ester of (XII) was subsequently hydrolyzed under basic conditions to the alcohol (XIII), which was further converted to the mesylate ester (XIV) by means of methanesulfonyl chloride and triethylamine.

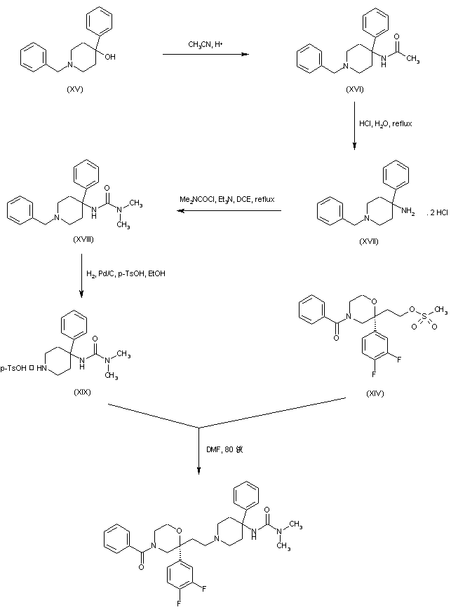
合成路线图解说明:

Acetamide (XVI) was obtained by the Ritter reaction of 1-benzyl-4-phenyl-piperidin-4-ol (XV) with acetonitrile. Acidic hydrolysis of amide (XVI) provided the aminopiperidine (XVII), which was converted into urea (XVIII) upon treatment with N,N-dimethylcarbamoyl chloride. Hydrogenolytic cleavage of the N-benzyl group of (XVIII) gave piperidine (XIX), which was finally alkylated with the mesylate (XIV) to furnish the title compound.

参考文献No.56603
标题:Method for preparing (R)-(+)-3-[1-[2-(4-benzoyl-2-(2,3-difluorophenyl)morpholin-2-yl)ethyl]-4-phenylpiperidin-4-yl]-1,1-dimethylurea, its salts solvates and/or hydrates
作者:Bonnefoy, S.; Aulombard, A.; Lucas, E.; Bernon, F.; Burgos, A.; Cabos, C. (Sanofi-Synth閘abo)
来源:FR 2787790; US 6392039; WO 0039126
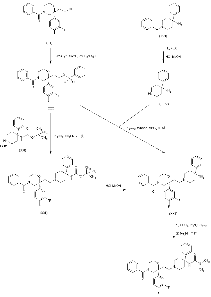
合成路线图解说明:

In an alternative process, the chiral morpholino alcohol (XIII) was activated as the sulfonate ester (XX) employing benzenesulfonyl chloride under phase-transfer conditions. Condensation of the alkyl sulfonate (XX) with 4-(tert-butoxycarbonylamino)-4-phenylpiperidine (XXI) afforded the N-substituted piperidine (XXII). The Boc protecting group of (XXII) was then removed by means of a methanolic solution of HCl, yielding the primary amine (XXIII). Alternatively, amine (XXIII) was synthesized by condensation of sulfonate (XX) with 4-amino-4-phenylpiperidine (XXIV) (obtained by catalytic hydrogenolysis of the N-benzyl piperidine (XVII)). Aminopiperidine (XXIII) was finally converted to the title urea by reaction with phosgene, followed by condensation with dimethylamine.

Drug Information Express,Drug R&D,Chemical Database,Patent Search.
Copyright © 2006-2026 Drug Future. All rights reserved.Contact Us