【药物名称】Cordycepin, 3-dA
化学结构式(Chemical Structure):
参考文献No.297001
标题:Asymmetric syntheses of stavudine (d4T) and cordycepin by cycloisomerization of alkynyl alcohols to endocyclic enol ethers
作者:Gleason, M.M.; McDonald, F.E.
来源:Angew Chem. Int Ed Engl 1995,34(3),350
合成路线图解说明:

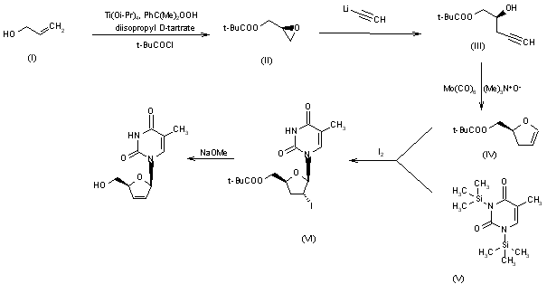
A new asymmetric synthesis of stavudine has been described: The regioselective epoxidation of allyl alcohol (I) by means of titanium tetraisopropoxide and alpha,alpha-dimethylbenzylperoxide, catalyzed by diisopropyl D-tartrate, followed by esterification with pivaloyl chloride yields the epoxide (II), which is then condensed with lithium acetylide catalyzed by boron trifluoride ethearate in THF, yielding the acetylenic alcohol (III). The cyclization of (III) catalyzed by Mo(CO)6 and trimethylamine oxide affords the dihydrofuran (IV), which is condensed with N,N'-bis(trimethylsilyl)thymine (V) and I2 to give the iodonucleoside (VI). Finally, this compound is dehydroiodinated and deprotected with sodium methoxide in methanol.

合成路线图解说明:

The enantioselective epoxidation of allyl alcohol (I) with 2-phenylisopropyl hydroperoxide (II) and Ti(iPrO)4 in the presence of D-diisopropyl tartrate gives the chiral epoxide (III), which is esterified with pivaloyl chloride to yield the pivalate (IV). The opening of the epoxide ring of (IV) by means of lithium acetylide (V) and BF3/Et2O affords the alkynyl alcohol (VI), which is cyclized by means of Mo(CO)6 and trimethylamine oxide to provide the chiral dihydrofuran (VII). The oxidation of (VII) with OsO4 and 4-methylmorpholine-N-oxide (NMMO) gives the diol (VIII), which is treated with Ac2O to yield the diacetate (IX). The condensation of (IX) with N6-benzoyl-N6,7-bis(trimethylsilyl)adenine (X) by means of Tms-OTf affords the nucleoside (XI). Finally, this compound is deprotected by means of NaOMe in methanol.

参考文献No.603213
标题:From adenosine to 3'-deoxyadenosine: Development and scale up
作者:Aman, S.; et al.
来源:Org Process Res Dev 2000,4(6),601
合成路线图解说明:

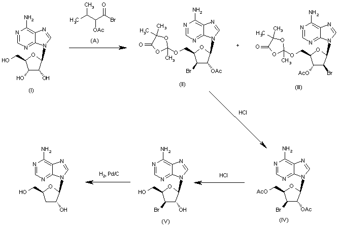
The reaction of adenosine (I) with 2-acetoxyisobutyryl bromide (A) gives the 3'-bromonucleoside (II) along with some 3'-bromo regioisomer (III). The reaction of the desired isomer (II) with HCl in methanol yields the intermediate acetylated 3'-bromonucleoside (V) and finally the 3'-bromo-3'-deoxyadenosine (VI). This compound is then debrominated by hydrogenation with H2 over Pd/C in ethanol/water.

参考文献No.620115
标题:A convenient preparation of 3'-deoxyadenosine
作者:Norman, D.G.; Reese, C.B.
来源:Synthesis 1983,304
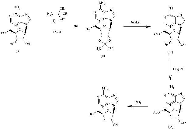
合成路线图解说明:

The reaction of adenosine (I) with triethyl orthoacetate (II) by means of Ts-OH in acetonitrile gives the bicyclic dioxolane (III), which is treated with acetyl bromide in dichloroethane to yield the acetylated bromonucleoside (IV). The debromination of (IV) by means of Bu3SnH in toluene affords the acetylated target compound (V), which is finally deprotected with ammonia in methanol.

参考文献No.632197
标题:Asymmetric synthesis of nucleosides via molybdenum-catalyzed alkynol cycloisomerization coupled with stereoselective glycosylations of deoxyfuranose glycals and 3-amidofuranose glycals
作者:Gleason, M.M.; McDonald, F.E.
来源:J Am Chem Soc 1996,118(28),6648
合成路线图解说明:

The enantioselective epoxidation of allyl alcohol (I) with 2-phenylisopropyl hydroperoxide (II) and Ti(iPrO)4 in the presence of D-diisopropyl tartrate gives the chiral epoxide (III), which is esterified with pivaloyl chloride to yield the pivalate (IV). The opening of the epoxide ring of (IV) by means of lithium acetylide (V) and BF3/Et2O affords the alkynyl alcohol (VI), which is cyclized by means of Mo(CO)6 and trimethylamine oxide to provide the chiral dihydrofuran (VII). The oxidation of (VII) with OsO4 and 4-methylmorpholine-N-oxide (NMMO) gives the diol (VIII), which is treated with Ac2O to yield the diacetate (IX). The condensation of (IX) with N6-benzoyl-N6,7-bis(trimethylsilyl)adenine (X) by means of Tms-OTf affords the nucleoside (XI). Finally, this compound is deprotected by means of NaOMe in methanol.

参考文献No.632200
标题:Nucleic acid related compounds. 88. Efficient conversions of ribonucleosides into their 2',3'-anhydro, 2'(and 3')-deoxy, 2',3'-didehydro-2',3'-dideoxy, and 2',3'-dideoxynucleoside analogues
作者:Robins, M.J.; et al.
来源:J Org Chem 1995,60(24),7902
合成路线图解说明:

The reaction of adenosine (I) 2-acetoxyisobutyryl bromide (A) in acetonitrile/water gives a mixture of the 3-bromo (II) and 2-bromo nucleosides (III), which is treated with Dowex (OH), Amberlite (OH) or methanolic NaOMe to yield the epoxide (IV). Finally, this compound is reduced with LiEt3BH in THF/DMSO or LiAlH4 in THF to afford a mixture of the 2'-deoxy nucleoside (V) and the target compound that are separated by chromatography. Alternatively, the mixture of the nucleosides (II) and (III) is debrominated by reaction with Bu3SnH and AIBN in refluxing toluene to give the same mixture of (V) and the target compound that is separated as before.

参考文献No.632201
标题:A convenient preparation of 3'-deoxyadenosine (cordycepin) and 9-[3'(R)-deuterio-beta-D-2'(R)-pentofuranosyl]-adenine
作者:Bazin, H.; Chattopadhyaya, J.
来源:Synthesis 1985,1108
合成路线图解说明:

The reaction of adenosine (I) 2-acetoxyisobutyryl bromide (A) in acetonitrile/water gives a mixture of the 3-bromo (II) and 2-bromo nucleosides (III), which is treated with Dowex (OH), Amberlite (OH) or methanolic NaOMe to yield the epoxide (IV). Finally, this compound is reduced with LiEt3BH in THF/DMSO or LiAlH4 in THF to afford a mixture of the 2'-deoxy nucleoside (V) and the target compound that are separated by chromatography. Alternatively, the mixture of the nucleosides (II) and (III) is debrominated by reaction with Bu3SnH and AIBN in refluxing toluene to give the same mixture of (V) and the target compound that is separated as before.

参考文献No.632242
标题:Regiospecific and stereoselective conversion of ribonucleosides to 3'-deoxynucleosides. A high yield three-stage synthesis of cordycepin from adenosine
作者:Hansske, F.; Robins, M.J.
来源:Tetrahedron Lett 1985,26(36),4295
合成路线图解说明:

The reaction of adenosine (I) 2-acetoxyisobutyryl bromide (A) in acetonitrile/water gives a mixture of the 3-bromo (II) and 2-bromo nucleosides (III), which is treated with Dowex (OH), Amberlite (OH) or methanolic NaOMe to yield the epoxide (IV). Finally, this compound is reduced with LiEt3BH in THF/DMSO or LiAlH4 in THF to afford a mixture of the 2'-deoxy nucleoside (V) and the target compound that are separated by chromatography. Alternatively, the mixture of the nucleosides (II) and (III) is debrominated by reaction with Bu3SnH and AIBN in refluxing toluene to give the same mixture of (V) and the target compound that is separated as before.

参考文献No.632260
标题:Reactions of 2-acyloxyisobutyryl halides with nucleosides. II. Reactions of adenosine
作者:Russell, A.F.; Greenberg, S.; Moffatt, J.G.
来源:J Am Chem Soc 1973,95(12),4025
合成路线图解说明:

The reaction of adenosine (I) 2-acetoxyisobutyryl bromide (A) in acetonitrile/water gives a mixture of the 3-bromo (II) and 2-bromo nucleosides (III), which is treated with Dowex (OH), Amberlite (OH) or methanolic NaOMe to yield the epoxide (IV). Finally, this compound is reduced with LiEt3BH in THF/DMSO or LiAlH4 in THF to afford a mixture of the 2'-deoxy nucleoside (V) and the target compound that are separated by chromatography. Alternatively, the mixture of the nucleosides (II) and (III) is debrominated by reaction with Bu3SnH and AIBN in refluxing toluene to give the same mixture of (V) and the target compound that is separated as before.

Drug Information Express,Drug R&D,Chemical Database,Patent Search.
Copyright © 2006-2026 Drug Future. All rights reserved.Contact Us