【药物名称】Ro-11-1464
化学结构式(Chemical Structure):
参考文献No.35242
标题:Diazepine derivs.
作者:Hellerbach, J.; Zeller, P.; Binder, D.; Hromatka, O. (F. Hoffmann-La Roche AG)
来源:DE 2405682; GB 1456161; US 4155913
合成路线图解说明:

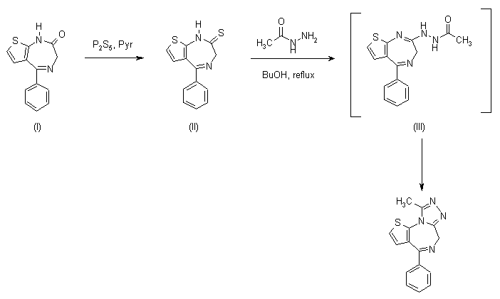
Treatment of diazepinone (I) with phosphorus pentasulfide in refluxing pyridine affords diazepinethione (II). Subsequent reaction with acetyl hydrazine in refluxing n-butanol gives the intermediate acetylhydrazino compound (III), which on prolonged heating cyclizes to the desired triazolodiazepine.

Drug Information Express,Drug R&D,Chemical Database,Patent Search.
Copyright © 2006-2026 Drug Future. All rights reserved.Contact Us