【药物名称】GW-7845
化学结构式(Chemical Structure):
参考文献No.482600
标题:N-(2-Benzoylphenyl)-L-tyrosine PPARgamma agonists. 3. Structure-activity relationship and optimization of the N-aryl substituent
作者:Cobb, J.E.; Blanchard, S.G.; Boswell, E.G.; Brown, K.K.; Charifson, P.S.; Cooper, J.P.; Collins, J.L.; Dezube, M.; Henke, B.R.; Hull-Ryde, E.A.; Lake, D.H.; Lenhard, J.M.; Oliver, W. Jr.; Oplinger, J.; Pentti, M.; Parks, D.J.; Plunket, K.D.; Tong, W.Q.
来源:J Med Chem 1998,41(25),5055
合成路线图解说明:

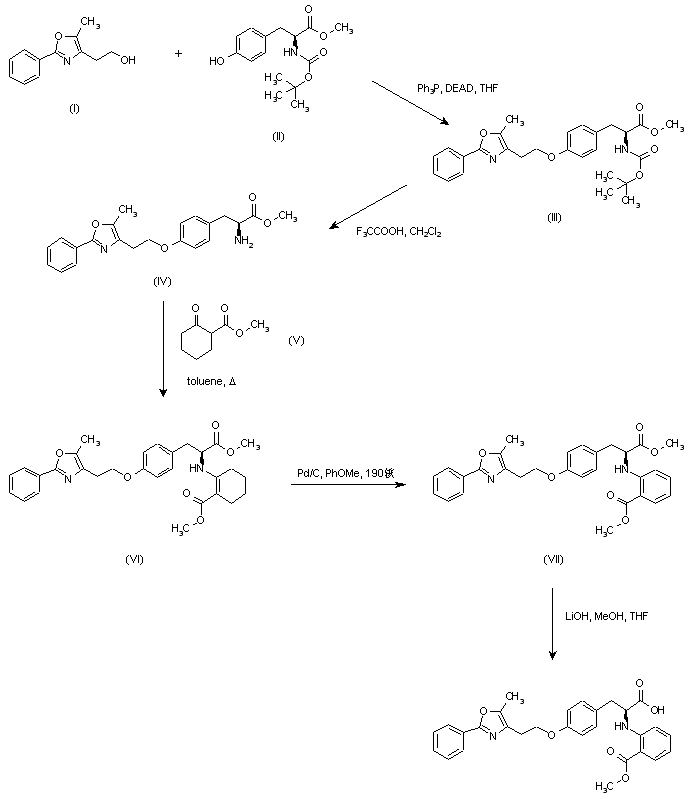
Oxazolylethanol (I) was coupled to N-Boc-L-tyrosine methyl ester (II) using Mitsunobu conditions in the presence of PPh3 and DEAD to give ether (III). Subsequent deprotection of the Boc group of (III) with trifluoroacetic acid afforded amine (IV), which was then condensed with methyl cyclohexanone-2-carboxylate (V) in boiling toluene to yield enamine (VI). Further heating of (VI) at 190 C in anisole in the presence of Pd/C resulted in aromatization of the cyclohexene ring to produce the anthranilate derivative (VII). Finally, selective hydrolysis of the aliphatic ester with LiOH under careful conditions provided the target monoester.

Drug Information Express,Drug R&D,Chemical Database,Patent Search.
Copyright © 2006-2026 Drug Future. All rights reserved.Contact Us