【药物名称】E-5842
化学结构式(Chemical Structure):
参考文献No.29384
标题:Tetrahydropyridine-(or -4-hydroxypiperidine)alkyla
作者:Merce-Vidal, R.; Frigola-Constansa, J. (Laboratorios del Dr. Esteve, SA)
来源:EP 0721455; FR 2723091; JP 1997503230; US 5731331; WO 9604287
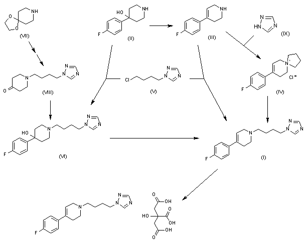
合成路线图解说明:

E-5842 was prepared by reacting (I) with citric acid monohydrate in ethanol. The base (I) can be obtained by two ways: 1) By condensation of 4-(4-fluorophenyl)-1,2,3,6-tetrahydropyridine (III) or 8-(4-fluorophenyl)-5-azoniaspiro[4.5]dec-7-ene chloride (IV) with 1-(4-chlorobutyl)-1H-1,2,4-triazole (V) or 1H-1,2,4-triazole, respectively, in dimethylformamide in the presence of potassium hydrogencarbonate. 2) By dehydration of 1-[4-[4-(4-fluorophenyl)-4-hydroxy-1-piperidyl]butyl]-1H-1,2,4-triazole (VI) in refluxing hydrochloric acid/ethanol. The piperidinol (VI) can be obtained by two procedures: a) By condensation of 4-(4-fluorophenyl)-4-hydroxypiperidine (II) with 1-(4-chlorobutyl)-1H-1,2,4-triazole (V) in dimethylformamide in the presence of potassium hydrogencarbonate. b) By condensation of 1,4-dioxa-8-azaspiro[4.5]decane (VII) with 1-(4-chlorobutyl)-1H-1,2,4-triazole (V) and hydrolysis of the acetal to give 1-[4-(4-oxo-1-piperidyl)butyl]-1H-1,2,4-triazole (VIII), followed by addition of 4-fluorophenyllithium or 4-fluorophenyl magnesium bromide in ether or tetrahydrofuran to yield (VI).

Drug Information Express,Drug R&D,Chemical Database,Patent Search.
Copyright © 2006-2026 Drug Future. All rights reserved.Contact Us