【药物名称】TA-270
化学结构式(Chemical Structure):
参考文献No.34544
标题:Quinolinone derivs. and antiallergic agents containing the same as effective ingredient
作者:Takagaki, H.; Abe, M.; Sakai, M.; Aoki, Y.; Nakanishi, S.; Kimura, N.; Koda, A. (Dainippon Ink & Chemicals, Inc.)
来源:EP 0785190; JP 1997255659; US 5942521; US 6114352
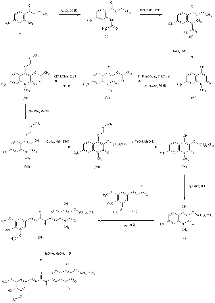
合成路线图解说明:

Ethyl 4-nitroanthranilate (I) was acetylated with Ac2O to give acetamide (II), which was N-alkylated by means of MeI and NaH in DMF yielding (III). Quinoline (IV) was then obtained by cyclization of (III) in the presence of NaH. Subsequent oxidation of (IV) using iodobenzene diacetate provided the 3-acetoxyquinolinone (V). After protection of the 4-hydroxyl group of (V) with methoxymethyl chloride, the resulting intermediate (VI) was deacetylated by treatment with NaOMe in MeOH affording (VII). The 3-hydroxyquinolinone (VII) was then alkylated with n-octyl iodide to produce octyl ether (VIII), and the methoxymethyl protecting group was further removed by hydrolysis with p-toluenesulfonic acid in MeOH giving (IX). The nitro group of (IX) was then reduced by hydrogenation over Pd/C, and the resulting amine (X) was coupled with 4-acetoxy-3,5-dimethoxycinnamoyl chloride (XI) to afford amide (XII). Finally, the acetate ester of (XII) was cleaved by treatment with NaOMe in MeOH.

Drug Information Express,Drug R&D,Chemical Database,Patent Search.
Copyright © 2006-2026 Drug Future. All rights reserved.Contact Us