【药物名称】
化学结构式(Chemical Structure):
参考文献No.34456
标题:Inhibitors of bone resorption and vitronectin receptor antagonists
作者:Wehner, V.; Knolle, J.; Stilz, H.U.; Carniato, D.; Gourvest, J.-F.; Gadek, T.; McDowell, R. (Aventis SA)
来源:DE 19626701; DE 19635522; EP 0796855
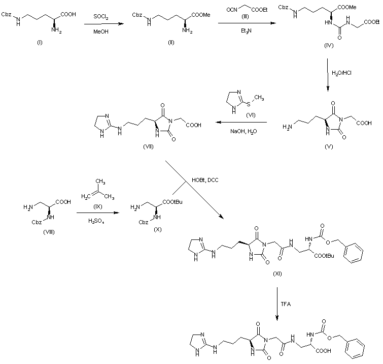
合成路线图解说明:

Conversion of amino acid (I) into its methyl ester derivative (II) by means of SOCl2 in MeOH, followed by coupling with ethyl isocyanatoacetate (III) and Et3N in CH2Cl2/THF yields derivative (IV). Cyclization of (IV) by means of H2O/HCl affords hydantoin (V), which reacts with 2-methylthio-2-imidazoline (VI) in an aqueous NaOH solution to provide cyclic guanidine derivative (VII). Treatment of amino acid (VIII) with isobutylene (IX) and H2SO4 in dioxane affords t-Bu ester (X), which then couples with (VII) by means of HOBt and DCC in DMF to furnish derivative (XI). Finally, tert-butyl ester is hydrolyzed by treatment with TFA in the presence of 1,2-dimercaptoethane.

参考文献No.565100
标题:RGD mimetics containing a central hydantoin scaffold: alphavbeta3 vs alphaIIbbeta3 selective requirements
作者:Peyman, A.; Wehner, V.; Knolle, J.; Stilz, H.U.; Breipohl, G.; Scheunemann, K.H.; Carniato, D.; Ruxer, J.M.; Gourvest, J.F.; Gadek, T.R.; Bodary, S.
来源:Bioorg Med Chem Lett 2000,10(2),179
合成路线图解说明:

Conversion of amino acid (I) into its methyl ester derivative (II) by means of SOCl2 in MeOH, followed by coupling with ethyl isocyanatoacetate (III) and Et3N in CH2Cl2/THF yields derivative (IV). Cyclization of (IV) by means of H2O/HCl affords hydantoin (V), which reacts with 2-methylthio-2-imidazoline (VI) in an aqueous NaOH solution to provide cyclic guanidine derivative (VII). Treatment of amino acid (VIII) with isobutylene (IX) and H2SO4 in dioxane affords t-Bu ester (X), which then couples with (VII) by means of HOBt and DCC in DMF to furnish derivative (XI). Finally, tert-butyl ester is hydrolyzed by treatment with TFA in the presence of 1,2-dimercaptoethane.

Drug Information Express,Drug R&D,Chemical Database,Patent Search.
Copyright © 2006-2026 Drug Future. All rights reserved.Contact Us