【药物名称】Capravirine, AG-1549, S-1153
化学结构式(Chemical Structure):
参考文献No.34420
标题:Lymph-absorbable imidazole derivs.
作者:Aono, K.; Ichihashi, T.; Sugawara, T.; Hirano, K. (Shionogi & Co. Ltd.)
来源:EP 0893442; US 6054591; WO 9735843
合成路线图解说明:

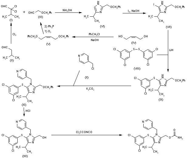
Cyclization of 2,2-dichloroisobutyraldehyde (I) - obtained by reaction of isovaleraldehyde (II) with chlorine in DMF - with 2-benzyloxyacetaldehyde (III) - produced by reaction of 2-butene-1,4-diol (IV) with benzyl chloride by means of NaOH in water, followed by ozonolysis in MeOH and finally reduction with triphenylphosphine in ethyl acetate - and aqueous NH4OH in methanol gives the imidazole derivative (VI), which is iodinated with I2 and NaOH in dichloromethane to yield the 5-iodoimidaz-ole derivative (VII). Condensation of compound (VII) with bis(3,5-dichlorophenyl)disulfide (VIII) by means of LiH in DMSO affords the dichlorophenylsulfanyl imidazole (IX), which is alkylated with 4-(chloromethyl)pyridine (X) and K2CO3 in DMF to provide the fully substituted imidazole (XI). Debenzylation of compound (XI) with conc. HCl in refluxing ethanol gives the carbinol (XII), which is finally treated with trichloroacetyl isocyanate and triethylamine in methanol/water.

参考文献No.35804
标题:Imidazole deriv.
作者:Sugimoto, H.; Fujiwara, T. (Shionogi & Co. Ltd.)
来源:EP 0786455; US 5910506; US 6147097; WO 9610019
合成路线图解说明:

Cyclization of 2,2-dichloroisobutyraldehyde (I) - obtained by reaction of isovaleraldehyde (II) with chlorine in DMF - with 2-benzyloxyacetaldehyde (III) - produced by reaction of 2-butene-1,4-diol (IV) with benzyl chloride by means of NaOH in water, followed by ozonolysis in MeOH and finally reduction with triphenylphosphine in ethyl acetate - and aqueous NH4OH in methanol gives the imidazole derivative (VI), which is iodinated with I2 and NaOH in dichloromethane to yield the 5-iodoimidaz-ole derivative (VII). Condensation of compound (VII) with bis(3,5-dichlorophenyl)disulfide (VIII) by means of LiH in DMSO affords the dichlorophenylsulfanyl imidazole (IX), which is alkylated with 4-(chloromethyl)pyridine (X) and K2CO3 in DMF to provide the fully substituted imidazole (XI). Debenzylation of compound (XI) with conc. HCl in refluxing ethanol gives the carbinol (XII), which is finally treated with trichloroacetyl isocyanate and triethylamine in methanol/water.

合成路线图解说明:

The debenzylation of 2-(benzyloxymethyl)-5-(3,5-dichlorophenylsulfanyl)-4-isopropyl-1H-imidazole (IX) with hot aqueous HCl gives 5-(3,5-dichlorophenylsulfanyl)-4-isopropyl-1H-imidazole-2-methanol (XIII), which is condensed with chlorosulfonyl isocyanate in acetonitrile to yield carbamic acid 5-(3,5-dichlorophenylsulfanyl)-4-isopropyl-1H-imidazol-2-ylmethyl ester (XIV). Finally, this compound is alkylated with 4-(chloromethyl)pyridine (X) - obtained by reaction of 4-(hydroxymethyl)pyridine (XV) and SOCl2 in acetonitrile - by means of NaHCO3 in ethyl acetate/water.

参考文献No.64970
标题:Process for producing imidazole derivs.
作者:Kabaki, M.; Hajima, M.; Hozumi, Y. (Shionogi & Co. Ltd.)
来源:EP 0949249; US 6057448; WO 9829395
合成路线图解说明:

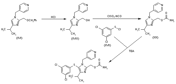
Alkylation of 2-(benzyloxymethyl)-4-isopropyl-1H-imidazole (VI) with 4-(chloromethyl)pyridine (X) by means of NaOH in toluene gives 2-(benzyloxymethyl)-4-isopropyl-1-(4-pyridylmethyl)-1H-imidazole (XVI), which is then condensed with 3,5-dichlorophenylsulfanyl chloride (XVII) - obtained by reaction of bis(3,5-dichlorophenyl)-disulfide (VIII) first with chlorine gas in CCl4 or toluene and then dried nitrogen gas - by means of triethylamine in toluene/water to afford 2-(benzyloxymethyl)-5-(3,5-dichlorophenylsulfanyl)-4-isopropyl-1-(4-pyridylmethyl)-1H-imidazole (XI). Debenzylation of compound (XI) by means of hot aqueous HCl provides the hydroxymethyl derivative (XII), which is finally esterified with chlorosulfonyl isocyanate in ethyl acetate.

合成路线图解说明:

Debenzylation of 2-(benzyloxymethyl)-4-isopropyl-1-(4-pyridylmethyl)-1H-imidazole (XVI) with hot aqueous HCl gives the hydroxymethyl derivative (XVIII), which is condensed with chlorosulfonyl isocyanate in ethyl acetate to yield carbamic acid 1-(4-pyridylmethyl)-4-isopropyl-1H-imidazol-2-ylmethyl ester (XIX). Finally, this compound is condensed with 3,5-dichlorophenylsulfanyl chloride (XVII) by means of triethylamine in DMF/toluene.

合成路线图解说明:

Esterification of 4-isopropyl-1-(4-pyridylmethyl)-1H-imidazol-2-ylmethanol (XVIII) by means of acetyl chloride and triethylamine in dichloromethane gives the acetate ester (XX), which is condensed with 3,5-dichlorophenylsulfanyl chloride (XVII) by means of triethylamine in toluene/acetonitrile to yield the thioether (XXI). Hydrolysis of the acetate group of compound (XXI) by means of NaOH in ethanol affords the hydroxymethyl compound (XII), which is finally condensed with chlorosulfonyl isocyanate in acetonitrile.

参考文献No.558207
标题:Synthesis and biological activity of imidazole derivatives as a novel class of HIV-1 nonnucleoside reverse transcriptase inhibitors
作者:Sugita, K.; Makino, I.; Sugimoto, H.; et al.
来源:Symp Med Chem 1999,Abst 2P-05
合成路线图解说明:

Cyclization of 2,2-dichloroisobutyraldehyde (I) - obtained by reaction of isovaleraldehyde (II) with chlorine in DMF - with 2-benzyloxyacetaldehyde (III) - produced by reaction of 2-butene-1,4-diol (IV) with benzyl chloride by means of NaOH in water, followed by ozonolysis in MeOH and finally reduction with triphenylphosphine in ethyl acetate - and aqueous NH4OH in methanol gives the imidazole derivative (VI), which is iodinated with I2 and NaOH in dichloromethane to yield the 5-iodoimidaz-ole derivative (VII). Condensation of compound (VII) with bis(3,5-dichlorophenyl)disulfide (VIII) by means of LiH in DMSO affords the dichlorophenylsulfanyl imidazole (IX), which is alkylated with 4-(chloromethyl)pyridine (X) and K2CO3 in DMF to provide the fully substituted imidazole (XI). Debenzylation of compound (XI) with conc. HCl in refluxing ethanol gives the carbinol (XII), which is finally treated with trichloroacetyl isocyanate and triethylamine in methanol/water.

参考文献No.772681
标题:Capravirine
作者:Sorbera, L.A.; Casta馿r, J.; Bay閟, M.
来源:Drugs Fut 2003,28(12),1149
合成路线图解说明:

Cyclization of 2,2-dichloroisobutyraldehyde (I) - obtained by reaction of isovaleraldehyde (II) with chlorine in DMF - with 2-benzyloxyacetaldehyde (III) - produced by reaction of 2-butene-1,4-diol (IV) with benzyl chloride by means of NaOH in water, followed by ozonolysis in MeOH and finally reduction with triphenylphosphine in ethyl acetate - and aqueous NH4OH in methanol gives the imidazole derivative (VI), which is iodinated with I2 and NaOH in dichloromethane to yield the 5-iodoimidaz-ole derivative (VII). Condensation of compound (VII) with bis(3,5-dichlorophenyl)disulfide (VIII) by means of LiH in DMSO affords the dichlorophenylsulfanyl imidazole (IX), which is alkylated with 4-(chloromethyl)pyridine (X) and K2CO3 in DMF to provide the fully substituted imidazole (XI). Debenzylation of compound (XI) with conc. HCl in refluxing ethanol gives the carbinol (XII), which is finally treated with trichloroacetyl isocyanate and triethylamine in methanol/water.

合成路线图解说明:

The debenzylation of 2-(benzyloxymethyl)-5-(3,5-dichlorophenylsulfanyl)-4-isopropyl-1H-imidazole (IX) with hot aqueous HCl gives 5-(3,5-dichlorophenylsulfanyl)-4-isopropyl-1H-imidazole-2-methanol (XIII), which is condensed with chlorosulfonyl isocyanate in acetonitrile to yield carbamic acid 5-(3,5-dichlorophenylsulfanyl)-4-isopropyl-1H-imidazol-2-ylmethyl ester (XIV). Finally, this compound is alkylated with 4-(chloromethyl)pyridine (X) - obtained by reaction of 4-(hydroxymethyl)pyridine (XV) and SOCl2 in acetonitrile - by means of NaHCO3 in ethyl acetate/water.

合成路线图解说明:

Alkylation of 2-(benzyloxymethyl)-4-isopropyl-1H-imidazole (VI) with 4-(chloromethyl)pyridine (X) by means of NaOH in toluene gives 2-(benzyloxymethyl)-4-isopropyl-1-(4-pyridylmethyl)-1H-imidazole (XVI), which is then condensed with 3,5-dichlorophenylsulfanyl chloride (XVII) - obtained by reaction of bis(3,5-dichlorophenyl)-disulfide (VIII) first with chlorine gas in CCl4 or toluene and then dried nitrogen gas - by means of triethylamine in toluene/water to afford 2-(benzyloxymethyl)-5-(3,5-dichlorophenylsulfanyl)-4-isopropyl-1-(4-pyridylmethyl)-1H-imidazole (XI). Debenzylation of compound (XI) by means of hot aqueous HCl provides the hydroxymethyl derivative (XII), which is finally esterified with chlorosulfonyl isocyanate in ethyl acetate.

合成路线图解说明:

Debenzylation of 2-(benzyloxymethyl)-4-isopropyl-1-(4-pyridylmethyl)-1H-imidazole (XVI) with hot aqueous HCl gives the hydroxymethyl derivative (XVIII), which is condensed with chlorosulfonyl isocyanate in ethyl acetate to yield carbamic acid 1-(4-pyridylmethyl)-4-isopropyl-1H-imidazol-2-ylmethyl ester (XIX). Finally, this compound is condensed with 3,5-dichlorophenylsulfanyl chloride (XVII) by means of triethylamine in DMF/toluene.

合成路线图解说明:

Esterification of 4-isopropyl-1-(4-pyridylmethyl)-1H-imidazol-2-ylmethanol (XVIII) by means of acetyl chloride and triethylamine in dichloromethane gives the acetate ester (XX), which is condensed with 3,5-dichlorophenylsulfanyl chloride (XVII) by means of triethylamine in toluene/acetonitrile to yield the thioether (XXI). Hydrolysis of the acetate group of compound (XXI) by means of NaOH in ethanol affords the hydroxymethyl compound (XII), which is finally condensed with chlorosulfonyl isocyanate in acetonitrile.

Drug Information Express,Drug R&D,Chemical Database,Patent Search.
Copyright © 2006-2026 Drug Future. All rights reserved.Contact Us