【药物名称】Laniquidar, R-101933
化学结构式(Chemical Structure):
参考文献No.34386
标题:Fused imidazole derivs. as multidrug resistance modulators
作者:Janssens, F.E.; Leenaerts, J.E.; Sommen, F.M.; Surleraux, D.L.N.G. (Janssen Pharmaceutica NV)
来源:EP 0888352; JP 2000505477; US 6218381; WO 9734897
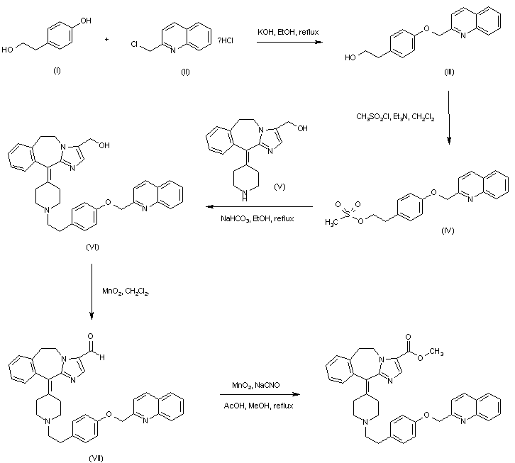
合成路线图解说明:

Condensation of 4-hydroxyphenylethanol (I) with 2-(chloromethyl)quinoline (II) in ethanolic KOH provided ether (III). The free hydroxyl group of (III) was then converted to the corresponding mesylate (IV) by treatment with methanesulfonyl chloride and Et3N. Alkylation of 11-(4-piperidinylidene)-6,11-dihydro-5H-imidazo[2,1-b][3]benzazepine-3-methanol (V) with mesylate (IV) in the presence of NaHCO3 gave adduct (VI). The primary alcohol of (VI) was oxidized to aldehyde (VII) using MnO2 in CH2Cl2. Finally, aldehyde (VII) was further oxidized to the title methyl ester by means of MnO2 in the presence of sodium cyanate in HOAc-MeOH.

参考文献No.46328
标题:Fused imidazole derivs. for improving oral bioavailability of pharmaceutical agents
作者:Snoeck, H.J.M. (Janssen Pharmaceutica NV)
来源:WO 9913871
合成路线图解说明:

Condensation of 4-hydroxyphenylethanol (I) with 2-(chloromethyl)quinoline (II) in ethanolic KOH provided ether (III). The free hydroxyl group of (III) was then converted to the corresponding mesylate (IV) by treatment with methanesulfonyl chloride and Et3N. Alkylation of 11-(4-piperidinylidene)-6,11-dihydro-5H-imidazo[2,1-b][3]benzazepine-3-methanol (V) with mesylate (IV) in the presence of NaHCO3 gave adduct (VI). The primary alcohol of (VI) was oxidized to aldehyde (VII) using MnO2 in CH2Cl2. Finally, aldehyde (VII) was further oxidized to the title methyl ester by means of MnO2 in the presence of sodium cyanate in HOAc-MeOH.

Drug Information Express,Drug R&D,Chemical Database,Patent Search.
Copyright © 2006-2026 Drug Future. All rights reserved.Contact Us