【药物名称】
化学结构式(Chemical Structure):
参考文献No.34374
标题:Substd. 2,3-benzodiazepin-4-ones and the use thereof
作者:Xia, H.; Field, G.; Lan, N.C.; Wang, Y. (Acea Pharmaceuticals)
来源:EP 1021418; JP 2000506890; US 5891871; WO 9734878
合成路线图解说明:

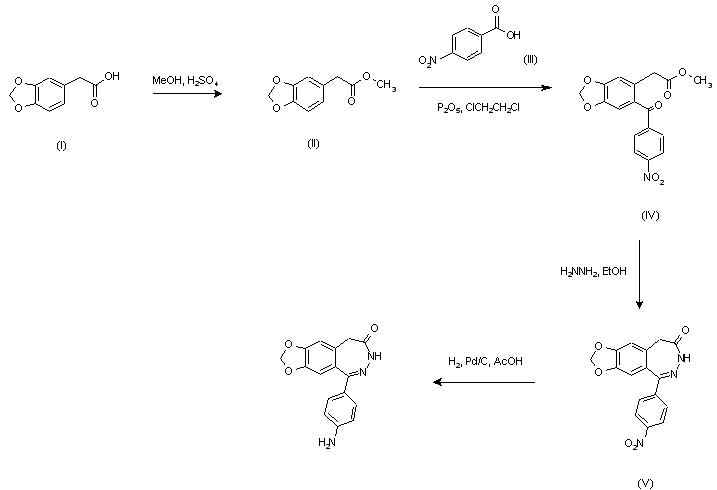
Esterification of 3,4-(methylenedioxy)phenylacetic acid (I) with methanol in the presence of sulfuric acid provided methyl ester (II). Fiedel Crafts acylation of (II) with 4-nitrobenzoic acid (III) under the action of P2O5 in refluxing dichloroethane yielded ketone (IV). This compound was refluxed with hydrazine hydrate in ethanol to afford benzodiazepinone (V). Finally, the nitro group was reduced by hydrogenation in acetic acid with Pd/C as the catalyst or with Raney-Ni and hydrazine to give the corresponding amine.

参考文献No.486496
标题:Synthesis of 7,8-(methylenedioxy)-1-phenyl-3,5-dihydro-4H-2,3-benzodiazepin-4-ones as novel and potent noncompetitive AMPA receptor antagonists
作者:Wang, Y.; Konkoy, C.S.; Ilyin, V.I.; Vanover, K.E.; Carter, R.B.; Weber, E.; Keana, J.F.; Woodward, R.M.; Cai, S.X.
来源:J Med Chem 1998,41(14),2621
合成路线图解说明:

Esterification of 3,4-(methylenedioxy)phenylacetic acid (I) with methanol in the presence of sulfuric acid provided methyl ester (II). Fiedel Crafts acylation of (II) with 4-nitrobenzoic acid (III) under the action of P2O5 in refluxing dichloroethane yielded ketone (IV). This compound was refluxed with hydrazine hydrate in ethanol to afford benzodiazepinone (V). Finally, the nitro group was reduced by hydrogenation in acetic acid with Pd/C as the catalyst or with Raney-Ni and hydrazine to give the corresponding amine.

Drug Information Express,Drug R&D,Chemical Database,Patent Search.
Copyright © 2006-2026 Drug Future. All rights reserved.Contact Us