【药物名称】
化学结构式(Chemical Structure):
参考文献No.486858
标题:1,5-Disubstituted Indazol-3-ols with Anti-Inflammatlory Activity
作者:Schindler, R.; et al.
来源:Arch Pharm 1998,331(1),13-21
合成路线图解说明:

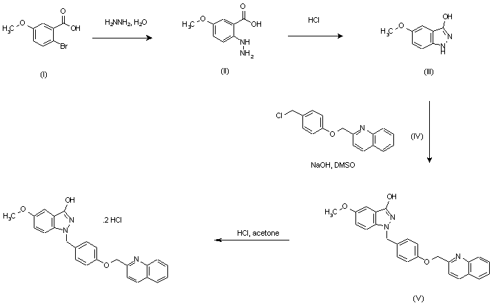
Reaction of 2-bromo-5-methoxybenzoic acid (I) with hydrazine hydrate gave hydrazinobenzoic acid (II), which was cyclized to indazole (III) on heating with hydrochloric acid. Subsequent alkylation with 2-[4-(chloromethyl)phenoxymethyl]quinoline hydrochloride (IV) in the presence of sodium hydroxide in DMSO provided (V), and treatment of this with HCl in acetone furnished the target dihydrochloride.

Drug Information Express,Drug R&D,Chemical Database,Patent Search.
Copyright © 2006-2026 Drug Future. All rights reserved.Contact Us