【药物名称】
化学结构式(Chemical Structure):
参考文献No.34033
标题:Histamine H3 receptor ligands
作者:Kalindjian, S.B.; Shankley, N.P.; Tozer, M.J.; McDonald, I.M.; Pether, M.J.; Harper, E.A.; Watt, G.F.; Cooke, T.; Low, C.M.R. (James Black Foundation Ltd.)
来源:EP 0882023; JP 2000505428; US 6080871; WO 9729092
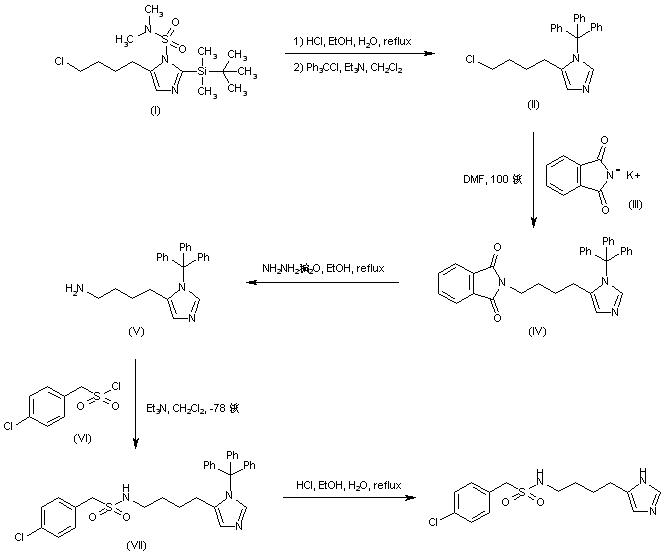
合成路线图解说明:

The known 5-(4-chlorobutyl)-2-(tert-butyldimethylsilyl)-1-(N,N-dimethylsulfamoyl) imidazole (I) was hydrolyzed with HCl in boiling aqueous ethanol and then protected as the triphenylmethyl derivative (II) using trityl chloride and triethylamine. The required primary amine (V) was obtained by condensation of chloride (II) with potassium phthalimide (III), followed by hydrazinolysis of the resulting N-alkylated phthalimide (IV). Sulfonylation of amine (V) with 4-chlorobenzylsulfonyl chloride (VI) gave rise to the sulfonamide (VII). The trityl protecting group of (VII) was finally removed by acid treatment.

Drug Information Express,Drug R&D,Chemical Database,Patent Search.
Copyright © 2006-2026 Drug Future. All rights reserved.Contact Us