【药物名称】
化学结构式(Chemical Structure):
参考文献No.477030
标题:Synthesis of benzo[c]quinolizin-3-ones: Selective non-steroidal inhibitors of steroid 5alpha-reductase 1
作者:Guarna, A.; Occhiato, E.G.; Scarpi, D.; Tsai, R.; Danza, G.; Comerci, A.; Mancina, R.; Serio, M.
来源:Bioorg Med Chem Lett 1998,8(20),2871
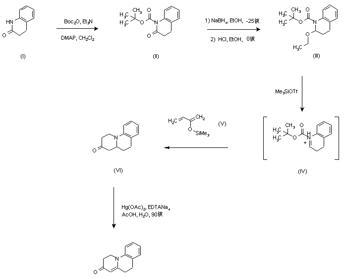
合成路线图解说明:

Dihydroquinolinone (I) was protected as the tert-butyl carbamate (II) by condensation with di-tert-butyl dicarbonate. Reduction of (II) with NaBH4 in EtOH at -25 C, followed by reaction with ethanolic HCl provided ethoxy compound (III). Subsequent treatment of (III) with 2-silyloxy-1,3-butadiene (V) and trimethylsilyl triflate afforded benzoquinolizinone (VI), through the sequence of Mannich condensation of intermediate N-tert-Boc iminium salt (IV) with silyl enol ether (V), followed by Michael cyclization of the unsaturated ketone. Then, oxidation with mercuric acetate provided the target 4-4a unsaturated compound together with a minor amount of 1,2-unsaturated product.

Drug Information Express,Drug R&D,Chemical Database,Patent Search.
Copyright © 2006-2026 Drug Future. All rights reserved.Contact Us