【药物名称】R-121920
化学结构式(Chemical Structure):
参考文献No.34044
标题:Pyrazolopyrimidines as CRF receptor antagonists
作者:Chen, C.; Webb, T.R.; McCarthy, J.R.; Moran, T.J.; Wilcoxen, K.M. (Janssen Pharmaceutica NV; Neurocrine Biosciences Inc.)
来源:EP 0880523; JP 2000503661; WO 9729109
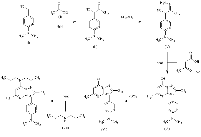
合成路线图解说明:

The condensation of 2-[6-(dimethylamino)pyridin-3-yl]acetonitrile (I) with ethyl acetate (II) by means of NaH in THF gives 2-[6-(dimethylamino)pyridin-3-yl]-3-oxobutyronitrile (III), which is treated with hydrazine in refluxing ethanol/water to yield the corresponding hydrazone (IV). The cyclization of (IV) with ethyl acetoacetate (V) in refluxing dioxane affords 3-[6-(dimethylamino)pyridin-3-yl]-2,5-dimethylpyrazolo[2,3-a]pyrimidin-7-ol (VI), which is treated with refluxing POCl3 to provide the expected 7-chloro derivative (VII). Finally, this compound is treated with dipropylamine (VIII) in refluxing acetonitrile to furnish the target dipropylamino derivative.

合成路线图解说明:

Aminopyrazole (I) was cyclized to pyrazolopyrimidine (III) by means of ethyl acetoacetate (II) in refluxing dioxan. Chlorination of (II) with POCl3 produced the corresponding chloro derivative (IV). This was then heated with an excess of amine (V) in a sealed vessel at 100 C to afford the target compound, which was isolated as the hydrochloride salt.

Drug Information Express,Drug R&D,Chemical Database,Patent Search.
Copyright © 2006-2026 Drug Future. All rights reserved.Contact Us