【药物名称】A-192621
化学结构式(Chemical Structure):
参考文献No.34075
标题:4-(Benzo-1,3-dioxolyl)-pyrrolidine-3-carboxylic acid derivs. as endothelin antagonists
作者:Tasker, A.S.; Boyd, S.A.; Sorensen, B.K.; Winn, M.; Jae, H.-S.; Von Geldern, T.W.; Henry, K.J. (Abbott Laboratories Inc.)
来源:EP 0888340; JP 2000504727; WO 9730046
合成路线图解说明:

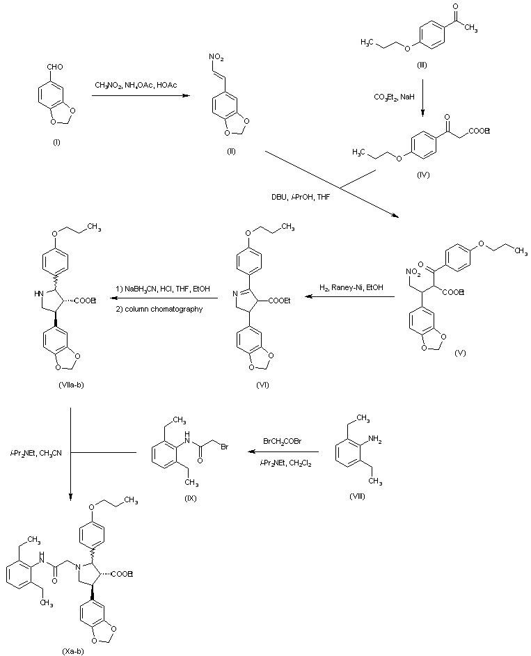
Condensation of piperonal (I) with nitromethane in the presence of ammonium acetate in AcOH provided nitrostyrene (II). Ketoester (IV) was prepared by carbethoxylation of 4'-propoxyacetophenone (III) with diethyl carbonate. Subsequent conjugate addition of ketoester (IV) to nitrostyrene (II) using DBU provided adduct (V). Hydrogenation of the nitro group of (V) over Raney Nickel, with concomitant ring closure formed the cyclic imine (VI), and further reduction of (VI) with NaBH3CN yielded the corresponding pyrrolidine as a diastereomeric mixture. Chromatographic separation removed the cis,cis isomer, affording a mixture of trans,trans and cis,trans pyrrolidines (VIIa, VIIb). 2,6-Diethylbromoacetanilide (IX) was prepared by acylation of 2,6-diethylaniline (VIII) with bromoacetyl bromide. N-Alkylation of the mixture of pyrrolidines (VIIa, VIIb) with bromoacetanilide (IX) furnished (Xa, Xb).

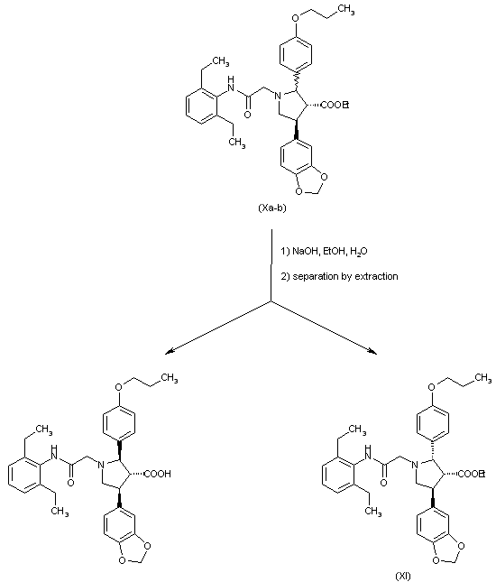
合成路线图解说明:

Then, hydrolysis of the ester group of (Xa, Xb) with NaOH gave rise to the title trans,trans pyrrolidine-3-carboxylic acid. The undesired cis,trans isomeric ester (XI) was not hydrolyzed under these conditions, allowing its removal from the product by means of differential extraction

参考文献No.38587
标题:Pyrrolidine carboxylic acid derivs. as endothelin antagonists
作者:Tasker, A.S.; Henry, K.J.; Boyd, S.A.; Von Geldern, T.W.; Sorensen, B.K.; Jae, H.-S.; Winn, M. (Abbott Laboratories Inc.)
来源:EP 0991620; WO 9857933
合成路线图解说明:

Condensation of piperonal (I) with nitromethane in the presence of ammonium acetate in AcOH provided nitrostyrene (II). Ketoester (IV) was prepared by carbethoxylation of 4'-propoxyacetophenone (III) with diethyl carbonate. Subsequent conjugate addition of ketoester (IV) to nitrostyrene (II) using DBU provided adduct (V). Hydrogenation of the nitro group of (V) over Raney Nickel, with concomitant ring closure formed the cyclic imine (VI), and further reduction of (VI) with NaBH3CN yielded the corresponding pyrrolidine as a diastereomeric mixture. Chromatographic separation removed the cis,cis isomer, affording a mixture of trans,trans and cis,trans pyrrolidines (VIIa, VIIb). 2,6-Diethylbromoacetanilide (IX) was prepared by acylation of 2,6-diethylaniline (VIII) with bromoacetyl bromide. N-Alkylation of the mixture of pyrrolidines (VIIa, VIIb) with bromoacetanilide (IX) furnished (Xa, Xb).

合成路线图解说明:

Then, hydrolysis of the ester group of (Xa, Xb) with NaOH gave rise to the title trans,trans pyrrolidine-3-carboxylic acid. The undesired cis,trans isomeric ester (XI) was not hydrolyzed under these conditions, allowing its removal from the product by means of differential extraction

参考文献No.548640
标题:Pyrrolide-3-carboxylic acids as endothelin antagonists. 4. Side chain conformational restriction leads to ETB selectivity
作者:von Geldern, T.W.; Tasker, A.S.; Sorensen, B.K.; Winn, M.; Szczepankiewicz, B.G.; Dixon, D.B.; Chiou, W.J.; Wang, L.; Wessale, J.L.; Adler, A.; Marsh, K.C.; Nguyen, B.; Opgenorth, T.J.
来源:J Med Chem 1999,42(18),3668
合成路线图解说明:

Condensation of piperonal (I) with nitromethane in the presence of ammonium acetate in AcOH provided nitrostyrene (II). Ketoester (IV) was prepared by carbethoxylation of 4'-propoxyacetophenone (III) with diethyl carbonate. Subsequent conjugate addition of ketoester (IV) to nitrostyrene (II) using DBU provided adduct (V). Hydrogenation of the nitro group of (V) over Raney Nickel, with concomitant ring closure formed the cyclic imine (VI), and further reduction of (VI) with NaBH3CN yielded the corresponding pyrrolidine as a diastereomeric mixture. Chromatographic separation removed the cis,cis isomer, affording a mixture of trans,trans and cis,trans pyrrolidines (VIIa, VIIb). 2,6-Diethylbromoacetanilide (IX) was prepared by acylation of 2,6-diethylaniline (VIII) with bromoacetyl bromide. N-Alkylation of the mixture of pyrrolidines (VIIa, VIIb) with bromoacetanilide (IX) furnished (Xa, Xb).

合成路线图解说明:

Then, hydrolysis of the ester group of (Xa, Xb) with NaOH gave rise to the title trans,trans pyrrolidine-3-carboxylic acid. The undesired cis,trans isomeric ester (XI) was not hydrolyzed under these conditions, allowing its removal from the product by means of differential extraction

Drug Information Express,Drug R&D,Chemical Database,Patent Search.
Copyright © 2006-2026 Drug Future. All rights reserved.Contact Us